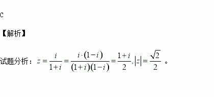
精英家教网 > 高中数学 > 题目详情

,则等于( )

A.1

B.

C.

D.

练习册系列答案
相关习题

科目:高中数学 来源:2016届陕西省高三高考全真模拟四数学(理)试卷(解析版) 题型:解答题

选修4-4:坐标系与参数方程

在直角坐标系中,在坐标原点为极点,轴正半轴为极轴建立极坐标系,已知曲线的极坐标方程为,曲线的参数方程是(t为参数)。

(1)求曲线的直角坐标方程;

(2)设曲线交于两点,求以线段为直径的圆的直角坐标方程。

查看答案和解析>>

科目:高中数学 来源:2016年内蒙古包头市高三学业水平测试与评估(二)数学理试卷(解析版) 题型:选择题

某几何体的三视图如下图所示(单位:),则这个几何体的体积为( )

A. B.

C. D.

查看答案和解析>>

科目:高中数学 来源:2016届江西省萍乡市高三下学期第二次模拟考试数学(理)试卷(解析版) 题型:填空题

的展开式中,常数项为

查看答案和解析>>

科目:高中数学 来源:2016届江西省萍乡市高三下学期第二次模拟考试数学(理)试卷(解析版) 题型:选择题

已知为单位向量,,则的最大值为( )

A.6

B.5

C.4

D.3

查看答案和解析>>

科目:高中数学 来源:2015-2016学年广东省等校高一下期末数学试卷(解析版) 题型:解答题

设向量

(1)若垂直,求的值;

(2)若,求的取值范围。

查看答案和解析>>

科目:高中数学 来源:2015-2016学年广东省等校高一下期末数学试卷(解析版) 题型:选择题

是等比数列,公比的前项和,记,设为数列的最大项,则( )

A.2 B.3 C.4 D.5

查看答案和解析>>

科目:高中数学 来源:2016届湖南省湘西自治州高三第二次质量检测数学(文)试卷(解析版) 题型:解答题

为了解某天甲、乙两厂的产品质量,采用分层抽样的方法从甲、乙两厂生产的产品中分别抽取14件和5件,测量产品中的微量元素的含量(单位:毫克).当产品中的微量元素满足,且时,该产品为优等品.已知甲厂该天生产的产品共有98件,下表是乙厂的5件产品的测量数据:

编号

1

2

3

4

5

169

178

166

175

180

75

80

77

70

81

(1)求乙厂该天生产的产品数量;

(2)用上述样本数据估计乙厂该天生产的优等品的数量;

(3)从乙厂抽出取上述5件产品中,随机抽取2件,求抽取的2件产品中优等品至少有1件的概率。

查看答案和解析>>

科目:高中数学 来源:2015-2016学年灵宝市高二下学期第一次月清考试数学(理)试卷 题型:解答题

设函数,其中。(1)讨论函数的单调性;

(2)当时,证明不等式:

查看答案和解析>>

同步练习册答案