精英家教网 > 高中数学 > 题目详情

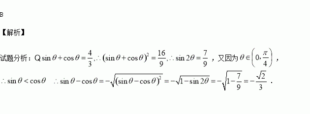
已知,则的值为 ( ).

A. B. C. D.

练习册系列答案
相关习题

科目:高中数学 来源:2015-2016学年黑龙江哈尔滨师大附中高二上期中文数学卷(解析版) 题型:解答题

椭圆的中心在原点,焦点在坐标轴上,经过

(Ⅰ)求椭圆C的标准方程;

(Ⅱ)斜率不为的直线与椭圆交于两点,定点,若,求直线的斜率的取值范围.

查看答案和解析>>

科目:高中数学 来源:2015-2016学年吉林省扶余市高一上学期期中考试数学试卷(解析版) 题型:选择题

设a=,b=,c=,则( )

A.a<b<c B.c<a<b

C.b<c<a D.b<a<c

查看答案和解析>>

科目:高中数学 来源:2016届四川省成都市高三11月段测三文科数学试卷(解析版) 题型:选择题

在△ABC中,三内角A,B,C的对边分别为a,b,c,若,(b+c+a)(b+c-a)=3bc,则△ABC 的形状为( )

A.直角三角形 B.等腰非等边三角形 C.等边三角形 D.钝角三角形

查看答案和解析>>

科目:高中数学 来源:2016届江西省高三上学期第三次考试文科数学试卷(解析版) 题型:解答题

已知函数

(Ⅰ)当时,求曲线处的切线方程;

(Ⅱ)设函数,求函数的单调区间;

(Ⅲ)若,在上存在一点,使得成立,求的取值范围.

查看答案和解析>>

科目:高中数学 来源:2016届江西省高三上学期第三次考试理科数学试卷(解析版) 题型:选择题

设Sn为等比数列的前n项和,,则= ( )

A.11 B.5 C.-8 D.-11

查看答案和解析>>

科目:高中数学 来源:2015-2016学年西藏日喀则一中高二10月月考文数学试卷(解析版) 题型:解答题

某百货超市欲在春节期间对某新上市商品开展促销活动,经测算该商品的销售量万件与促销费用万元满足.已知万件该商品的进价成本为万元,商品的销售价格定为元/件.

(1)将该商品的利润万元表示为促销费用万元的函数;

(2)促销费用投入多少万元时,商家的利润最大?最大利润为多少?

查看答案和解析>>

科目:高中数学 来源:2015-2016学年安徽师大附中高二上学期期中文科数学试卷(解析版) 题型:解答题

已知直线l与两坐标轴围成的三角形的面积为3,分别求满足下列条件的直线l的方程:

(1)过定点A(-3,4);

(2)斜率为

查看答案和解析>>

科目:高中数学 来源:2015-2016学年湖南省高二上学期期中文科数学试卷(解析版) 题型:填空题

当函数y=sinx﹣cosx(0≤x<2π)取得最大值时,x=

查看答案和解析>>

同步练习册答案