精英家教网 > 高中数学 > 题目详情

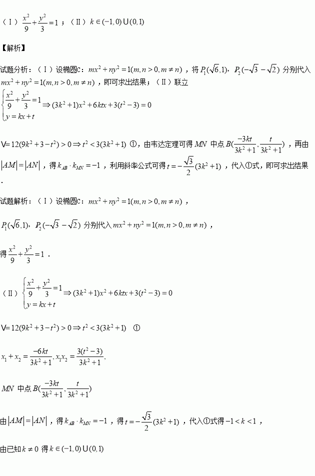
椭圆的中心在原点,焦点在坐标轴上,经过

(Ⅰ)求椭圆C的标准方程;

(Ⅱ)斜率不为的直线与椭圆交于两点,定点,若,求直线的斜率的取值范围.

练习册系列答案
相关习题

科目:高中数学 来源:2015-2016学年广东汕头金山中学高一上学期期中数学试卷(解析版) 题型:填空题

已知函数成立的实数的取值范围是_________________.

查看答案和解析>>

科目:高中数学 来源:2016届广东省广州市高三上学期期中文科数学试卷(解析版) 题型:选择题

已知函数的图象在点处的切线与直线平行,若数列的前项和为,则的值为( )

A. B. C. D.

查看答案和解析>>

科目:高中数学 来源:2015-2016学年山东省高一上学期期中考试数试卷(解析版) 题型:选择题

已知函数,且,则( )

A. B. C. D.

查看答案和解析>>

科目:高中数学 来源:2015-2016学年湖南衡阳八中高二上学期期中文科数学试卷(解析版) 题型:解答题

某食品厂定期收购面粉,已知该厂每天需要面粉6吨,每吨面粉的价格为1800元,面粉的保管等其他费用为平均每吨每天3元,购买面粉每次需支付运费900元.

(1)求该厂多少天购买一次面粉,才能使平均每天所支付的总费用最少?

(2)若提供面粉的公司规定:当一次购买面粉不少于210吨时,其价格可享受9折优惠(即原价的90%),问该厂是否考虑利用此优惠条件?请说明理由.

查看答案和解析>>

科目:高中数学 来源:2015-2016学年黑龙江哈尔滨师大附中高二上期中文数学卷(解析版) 题型:选择题

焦点在轴上的椭圆的焦距为,则长轴长是 ( )

A. B. C. D.

查看答案和解析>>

科目:高中数学 来源:2015-2016学年河北省高一上学期期中数学试卷(解析版) 题型:解答题

某化工厂生产的一种溶液,若初时含杂质2%,每过滤一次可使杂质含量减少.(已知:

(1)求杂质含量与过滤次数的函数关系式;

(2)按市场要求,杂质含量不能超过0.1%.问至少应过滤几次才能使产品达到市场要求?

查看答案和解析>>

科目:高中数学 来源:2015-2016学年陕西省西安市高一上学期期中考试数学试卷(解析版) 题型:填空题

已知函数,且

查看答案和解析>>

科目:高中数学 来源:2016届江西省高三上学期第三次考试文科数学试卷(解析版) 题型:选择题

已知,则的值为 ( ).

A. B. C. D.

查看答案和解析>>

同步练习册答案