精英家教网 > 高中数学 > 题目详情

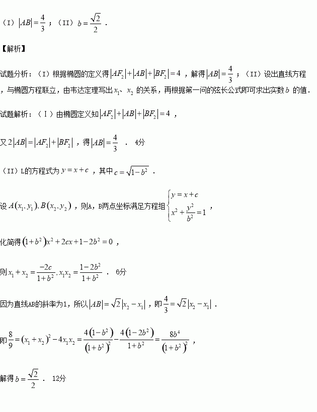
分别是椭圆E:的左、右焦点,过的直线与E相交于A、B两点,且成等差数列.

(Ⅰ)求|AB|;

(Ⅱ)若直线的斜率为1,求b的值.

练习册系列答案
相关习题

科目:高中数学 来源:2014-2015学年贵州省高二上学期期中文科数学试卷(解析版) 题型:填空题

下边程序执行后输出的结果是( )。

查看答案和解析>>

科目:高中数学 来源:2015-2016学年山西康杰中学高一上学期期中考试数学试卷(解析版) 题型:选择题

函数的零点所在区间是

A. B. C. D.

查看答案和解析>>

科目:高中数学 来源:2015-2016学年湖北宜昌市高一上期中考试数学试卷(解析版) 题型:选择题

定义域为的函数的值域为,则函数的值域为

A. B. C. D.

查看答案和解析>>

科目:高中数学 来源:2015-2016学年河北衡水冀州中学高二上期中文科数学B卷(解析版) 题型:解答题

已知函数

(1)求证:上是增函数;

(2)求的最大值和最小值.

查看答案和解析>>

科目:高中数学 来源:2015-2016学年河北衡水冀州中学高二上期中理科数学B卷(解析版) 题型:选择题

下列双曲线中与椭圆有相同焦点的是 ( )

A. B. C. D.

查看答案和解析>>

科目:高中数学 来源:2016届四川省巴中市普通高中高三10月零诊考试文科数学试卷(解析版) 题型:解答题

(本小题满分12分)椭圆G 的长轴为4,焦距为4

(1)求椭圆G的方程;

(2)若斜率为1的直线l与椭圆G交于A、B两点, 且点P(-3,2)在线段AB的垂直平分线上,求?PAB的面积.

查看答案和解析>>

科目:高中数学 来源:2014-2015学年陕西省西安市高三上学期期中考试理科数学试卷(解析版) 题型:解答题

(满分12分)渔船甲位于岛屿的南偏西方向处,且与岛屿相距海里,渔船乙以海里/小时的速度从岛屿出发沿正北方向航行,若渔船甲同时从处出发沿北偏东的方向追赶渔船乙,刚好用了2小时追赶上渔船乙.

(Ⅰ)求渔船甲的速度;

(Ⅱ)求的值.

查看答案和解析>>

科目:高中数学 来源:2015-2016学年湖北荆州中学高一上学期期中理科数学试卷(解析版) 题型:选择题

已知函数,若,则实数( )

A.0 B.2 C. D.0或2

查看答案和解析>>

同步练习册答案