精英家教网 > 高中数学 > 题目详情

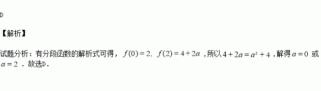
已知函数,若,则实数( )

A.0 B.2 C. D.0或2

练习册系列答案
相关习题

科目:高中数学 来源:2015-2016学年河北衡水冀州中学高二上期中理科数学B卷(解析版) 题型:解答题

分别是椭圆E:的左、右焦点,过的直线与E相交于A、B两点,且成等差数列.

(Ⅰ)求|AB|;

(Ⅱ)若直线的斜率为1,求b的值.

查看答案和解析>>

科目:高中数学 来源:2015-2016学年四川省高二10月月考数学试卷(解析版) 题型:选择题

已知正方体ABCD-A1B1C1D1,过A1点可作 条直线与直线AC和BC1都成60o角( )

A.1 B.2 C.3 D.4

查看答案和解析>>

科目:高中数学 来源:2015-2016学年湖北武汉二中高二上学期期中理科数学试卷(解析版) 题型:选择题

方程为=1(a>b>0)的椭圆的左顶点为A,左、右焦点分别为F1、F2,D是它短轴上的一个端点,若,则该椭圆的离心率为( )

A. B. C. D.

查看答案和解析>>

科目:高中数学 来源:2015-2016学年湖北荆州中学高一上学期期中理科数学试卷(解析版) 题型:解答题

(本小题12分)已知函数

(1)当时,求方程的解;

(2)若方程上有实数根,求实数的取值范围;

(3)当时,若对任意的,总存在,使成立,求实数的取值范围.

查看答案和解析>>

科目:高中数学 来源:2015-2016学年湖北荆州中学高二上学期期中文科数学试卷(解析版) 题型:选择题

将一圆形纸片沿半径剪开为两个扇形,其圆心角之比为3∶4.再将它们卷成两个圆锥侧面,则两圆锥的底面积之比为( )

A.3∶4 B. 9∶16 C.4:3 D.16:9

查看答案和解析>>

科目:高中数学 来源:2016届广东省惠州市高三上学期第二次调研考试文科数学试卷(解析版) 题型:解答题

(本小题满分10分)选修4-4:坐标系与参数方程

在平面直角坐标系中,直线的参数方程为参数),以坐标原点为极点,轴正半轴为极轴建立极坐标系,曲线的极坐标方程为:

(Ⅰ)求直线的极坐标方程;

(Ⅱ)求直线与曲线交点的极坐标

【答案】(1);(2).

【解析】

试题分析:本题主要考查点的极坐标和直角坐标的互化、参数方程与普通方程的转化等基础知识,考查学生的分析问题解决问题的能力、转化能力、计算能力.第一问,将直线的参数方程,消去参数t,即可化为普通方程,将代入,可得极坐标方程;第二问,将曲线C的极坐标方程, 转化为普通方程,联立方程,解得交点坐标,再转化为极坐标.

试题解析:(Ⅰ)将直线消去参数得普通方程

代入.

化简得……4分(注意解析式不进行此化简步骤也不扣分)

(Ⅱ)方法一:的普通方程为.

解得:

所以交点的极坐标分别为:.

方法二:由

得:,又因为

所以

所以交点的极坐标分别为:.

考点:点的极坐标和直角坐标的互化、参数方程与普通方程的转化.

【题型】解答题
【适用】一般
【标题】2016届广东省惠州市高三上学期第二次调研考试文科数学试卷(带解析)
【关键字标签】
【结束】
 

(本小题满分10分)选修4-5:不等式选讲

设函数

(Ⅰ)当时,求不等式的解集;

(Ⅱ)若恒成立,求实数的取值范围.

查看答案和解析>>

科目:高中数学 来源:2014-2015学年海南省高三下学期大测三文科数学试卷(解析版) 题型:选择题

已知是虚数单位,若是纯虚数,则实数=( )

A、 B、-1 C、1 D、

查看答案和解析>>

科目:高中数学 来源:2014-2015学年四川省高二下学期4月月考理科数学试卷(解析版) 题型:选择题

被4除所得的余数为( )

A、0 B、1 C、2 D、3

查看答案和解析>>

同步练习册答案