精英家教网 > 高中数学 > 题目详情

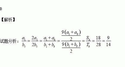
等差数列的前项的和分别为,对一切自然数都有,则( )

A. B. C. D.

练习册系列答案
相关习题

科目:高中数学 来源:2016届宁夏吴忠中学高三上学期第四次月考理科数学试卷(解析版) 题型:填空题

如图,在△中,,高,在内作射线于点,求的概率

查看答案和解析>>

科目:高中数学 来源:2015-2016学年贵州省高一上学期中考试数学试卷(解析版) 题型:填空题

,则的值为,不等式的解集为___

查看答案和解析>>

科目:高中数学 来源:2015-2016学年湖南省、攸县一中高二上期中理科数学试卷(解析版) 题型:填空题

椭圆的左.右焦点分别为,焦距为2c,若直线与椭圆的一个交点M满足,则该椭圆的离心率等于_________.

查看答案和解析>>

科目:高中数学 来源:2015-2016学年山东省新泰市高二上学期期中考试理科数学试卷(解析版) 题型:选择题

已知,若不等式恒成立,则的最大值为

A.10 B.9 C.8 D.7

查看答案和解析>>

科目:高中数学 来源:2015-2016学年浙江省温州市十校联合体高二上学期期中考试数学试卷(解析版) 题型:填空题

过长方体ABCD—A1B1C1D1任意两条棱的中点作直线,其中与平面DBB1D1平行的直线共有________条.

查看答案和解析>>

科目:高中数学 来源:2015-2016学年湖北省等四校高二上学期期中理科数学试卷(解析版) 题型:选择题

某校高二甲、乙两学生统计了进入高中以来的十次统考成绩(如图),记甲、乙两学生成绩的中位数分别为,平均分分别为.则下列说法正确的是( )

A. B.

C. D.

查看答案和解析>>

科目:高中数学 来源:2015-2016学年浙江省嘉兴市高二上12月月考数学卷(解析版) 题型:选择题

四面体中,各棱长相等,的中点,则直线与平面所成角的正弦值为( )

A. B. C. D.

查看答案和解析>>

科目:高中数学 来源:2015-2016学年河北省、永年二中高二上期中理科数学试卷(解析版) 题型:填空题

如图,矩形的一边轴上,另外两个顶点在函数的图象上.若点的坐标为,记矩形的周长为,则

查看答案和解析>>

同步练习册答案