精英家教网 > 高中数学 > 题目详情

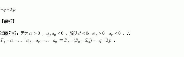
在等差数列中,,若此数列的前项和,前项和,则数列的前项和

练习册系列答案
相关习题

科目:高中数学 来源:2015-2016学年河南省高二上期中文科数学试卷(解析版) 题型:选择题

在数列中,已知对任意,则等于

A.B.C.D.

查看答案和解析>>

科目:高中数学 来源:2015-2016学年贵州省高二上滾动训练4数学试卷(解析版) 题型:选择题

设全集U是实数集R,M={x|},N={x|},则图中阴影部分所表示的集合是( )

A.{x|} B.{x|} C.{x|} D.{x|x<2}

查看答案和解析>>

科目:高中数学 来源:2015-2016学年广西桂林市高一上期中数学试卷(解析版) 题型:解答题

如图,长方体的长、宽、高分别为4、3、5,已知分别为线段的中点.

(1)求证:

(2)求多面体的体积.

查看答案和解析>>

科目:高中数学 来源:2015-2016学年广东省惠州市高二上期中理科数学试卷(解析版) 题型:选择题

若直线mx+ny=4和圆O: x2+y2=4没有交点,则过点(m, n)的直线与椭圆的交

点个数为( )

A.至多一个 B.2个 C.1个 D.0个

查看答案和解析>>

科目:高中数学 来源:2015-2016学年安徽省蚌埠市高二上期中文科数学试卷(解析版) 题型:填空题

已知三棱锥的各顶点都在一个半径为的球面上,球心上,底面,则球的体积与三棱锥体积之比是

查看答案和解析>>

科目:高中数学 来源:2015-2016学年安徽省蚌埠市高二上期中理科数学试卷(解析版) 题型:选择题

平行六面体中,与平面交于点,则的 ( )

A.重心 B.外心 C.内心 D.垂心

查看答案和解析>>

科目:高中数学 来源:2016届山西省高三上期中文科数学试卷(解析版) 题型:填空题

,则

查看答案和解析>>

科目:高中数学 来源:2015-2016学年湖南师大附中高二上第二次段测理科数学卷(解析版) 题型:填空题

若数列的前n项和为,则数列的通项公式是_______.

查看答案和解析>>

同步练习册答案