精英家教网 > 高中数学 > 题目详情

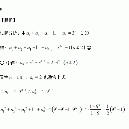
在数列中,已知对任意,则等于

A.B.C.D.

练习册系列答案
相关习题

科目:高中数学 来源:2016届山东师大附中高三上学期第三次模拟理科数学试卷(解析版) 题型:解答题

已知函数

(1)求函数的单调递增区间;

(2)在,求三角形的面积

查看答案和解析>>

科目:高中数学 来源:2015-2016学年广西钦州港经济技术开发区中学高二上期中文科数学卷(解析版) 题型:填空题

一个正三棱柱的三视图如图所示,求这个正三棱柱的表面积

查看答案和解析>>

科目:高中数学 来源:2015-2016年湖南省株洲市高二上第二次月考理数学卷(解析版) 题型:填空题

已知函数,则等于_________.

查看答案和解析>>

科目:高中数学 来源:2015-2016学年湖南省高二上期中数学试卷(解析版) 题型:选择题

已知两个等差数列{}和{}的前n项和分别为,且,则使得为整数的正整数n的个数是( )

A、2 B、3 C、4 D、5

查看答案和解析>>

科目:高中数学 来源:2015-2016学年河南省高二上期中理科数学试卷(解析版) 题型:填空题

已知成等差数列,则二次函数的图像与x轴交点个数是_______.

查看答案和解析>>

科目:高中数学 来源:2015-2016学年河南省林州市高一上期中数学试卷(解析版) 题型:选择题

,下列四个图形,其中能表示集合到集合函数关系的是

查看答案和解析>>

科目:高中数学 来源:2015-2016学年福建省高一上期中数学试卷(解析版) 题型:选择题

在△ABC中,角A=60°,AB=2,且△ABC的面积S△ABC=,则BC的长为( )

A. B.3 C. D.7

查看答案和解析>>

科目:高中数学 来源:2015-2016年北大附中河南分校高二宏志班上抽考文数学卷(解析版) 题型:填空题

在等差数列中,,若此数列的前项和,前项和,则数列的前项和

查看答案和解析>>

同步练习册答案