精英家教网 > 高中数学 > 题目详情

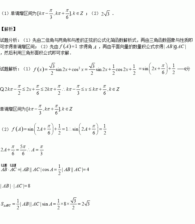
已知函数

(1)求函数的单调递增区间;

(2)在,求三角形的面积

练习册系列答案
相关习题

科目:高中数学 来源:2015-2016学年辽宁师大附中高一上12月月考数学试卷(解析版) 题型:填空题

四棱锥P-ABCD的顶点P在底面ABCD上的投影恰好是点A,其正视图与侧视图都是腰长为的等腰直角三角形.则在四棱锥P-ABCD的任意两个顶点的连线中,互相垂直的异面直线共有_______对.

查看答案和解析>>

科目:高中数学 来源:2015-2016学年浙江省温州市十校联合体高二上学期期中考试数学试卷(解析版) 题型:选择题

如图,是一平面图形的直观图,斜边,则这个平面图形的面积是( )

A. B. C. D.

查看答案和解析>>

科目:高中数学 来源:2015-2016学年浙江省嘉兴市高二上12月月考数学卷(解析版) 题型:解答题

已知圆心为的圆方程为,点是直线上的一动点,过点作圆的切线,切点为

(1)当切线的长度为时,求点的坐标;

(2)若的外接圆为圆,试问:当在直线上运动时,圆是否过定点?若存在,求出所有的定点的坐标;若不存在,说明理由.

(3)求线段长度的最小值.

查看答案和解析>>

科目:高中数学 来源:2016届山东师大附中高三上学期第三次模拟文科数学试卷(解析版) 题型:填空题

已知长方形中,的中点,则在此长方形内随机取一点的距离小于1的概率为_________.

查看答案和解析>>

科目:高中数学 来源:2015-2016学年辽宁省分校高一12月月考数学卷(解析版) 题型:填空题

若函数的定义域是,则函数的定义域为________.

查看答案和解析>>

科目:高中数学 来源:2016届河北省邯郸市高三一轮收官考试二理科数学试卷(解析版) 题型:填空题

已知在直角梯形ABCD中,,将直角梯形ABCD沿AC折叠成三棱锥D-ABC,当三棱锥D-ABC的体积取最大值时,其外接球的体积为

查看答案和解析>>

科目:高中数学 来源:2015-2016学年江苏省江阴市华士、成化、山观三校高二上期中数学卷(解析版) 题型:填空题

已知圆和两点,若圆不存在,使得为直角,则实数的取值范围是

查看答案和解析>>

科目:高中数学 来源:2015-2016学年河南省高二上期中文科数学试卷(解析版) 题型:选择题

在数列中,已知对任意,则等于

A.B.C.D.

查看答案和解析>>

同步练习册答案