精英家教网 > 高中数学 > 题目详情

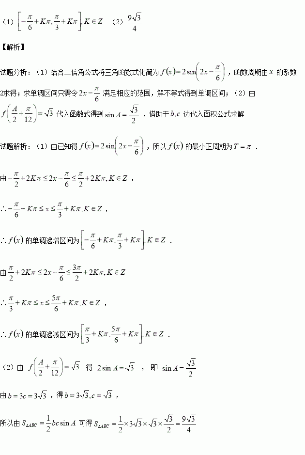
(10分)已知函数

(1)求函数的最小正周期及的单调区间;

(2)在中,分别是角的对边,若,且,求得面积.

练习册系列答案
相关习题

科目:高中数学 来源:2015-2016学年黑龙江省高二上学期期中数学试卷(解析版) 题型:选择题

执行下面的程序框图,输出的S=( )

A.25 B.9 C.17 D.20

查看答案和解析>>

科目:高中数学 来源:2015-2016学年吉林省扶余市高二上学期期中考试理科数学试卷(解析版) 题型:选择题

已知命题”,“p”和“

式的命题中,真命题的个数是( )

A.3 B.2 C.1 D.0

查看答案和解析>>

科目:高中数学 来源:2015-2016学年福建省高二上学期期中考试理科数学试卷(解析版) 题型:解答题

(本小题满分12分) 在△ABC中,a,b,c分别是角A,B,C的对边,且

(1)求角B的大小;

(2)若,求实数b的取值范围.

查看答案和解析>>

科目:高中数学 来源:2014-2015学年上海市高二下学期期末考试数学试卷(解析版) 题型:选择题

方程的图象表示曲线C,则以下命题中

甲:曲线C为椭圆,则1<t<4;

乙:若曲线C为双曲线,则t>4或t<1;

丙:曲线C不可能是圆;

丁:曲线C表示椭圆,且长轴在x轴上,则

正确的有( )

A.1个 B.2个 C.3个 D.4个

查看答案和解析>>

科目:高中数学 来源:2015-2016学年山东省临沂市高二上期中模拟理数学试卷(解析版) 题型:解答题

(本题满分13分)某渔业公司年初用98万元购买一艘捕鱼船,第一年各种费用12万元,以后每年都增加4万元,每年捕鱼收益50万元.

(1)问第几年开始获利?

(2)若干年后,有两种处理方案:①年平均获利最大时,以26万元出售该渔船;②总纯收入获利最大时,以8万元出售该渔船.问哪种方案最合算?

查看答案和解析>>

科目:高中数学 来源:2015-2016学年辽宁省大连市高二上期中文科数学试卷(解析版) 题型:填空题

曲线是平面内与两个定点的距离的积等于常数的点的轨迹,给出下列四个结论:

①曲线关于坐标轴对称;

②曲线过点

③若点在曲线上(不在轴上),则的面积不大于.

其中,所有正确结论的序号是________ .

查看答案和解析>>

科目:高中数学 来源:2015-2016学年江西省赣州市十三县高二上期中联考文科数学试卷(解析版) 题型:填空题

不等式的解集为

查看答案和解析>>

科目:高中数学 来源:2016届重庆市高三上学期第三次月考文科数学试卷(解析版) 题型:解答题

(本小题满分12分) 已知函数

(1)当时,求函数的单调区间和极值;

(2)对任意给定的正实数,曲线上是否存在两点,使得△是以为直角顶点的直角三角形,且此三角形斜边中点在轴上?

查看答案和解析>>

同步练习册答案