精英家教网 > 高中数学 > 题目详情

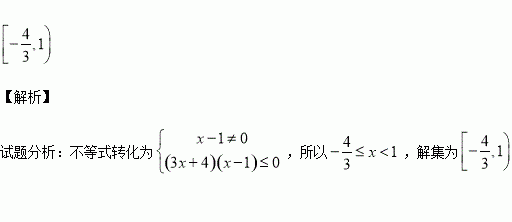
不等式的解集为

练习册系列答案
相关习题

科目:高中数学 来源:2015-2016学年吉林省扶余市高一上学期期中考试数学试卷(解析版) 题型:选择题

方程ex-x=2在实数范围内的解有( )个

A.0 B.1 C.2 D.3

查看答案和解析>>

科目:高中数学 来源:2015-2016学年重庆市高二上第一次月考理科数学试卷(解析版) 题型:填空题

(10分)已知函数

(1)求函数的最小正周期及的单调区间;

(2)在中,分别是角的对边,若,且,求得面积.

查看答案和解析>>

科目:高中数学 来源:2015-2016学年辽宁省大连市高二上期中理科数学试卷(解析版) 题型:填空题

曲线是平面内与两个定点的距离的积等于常数的点的轨迹,给出下列四个结论:

①曲线关于坐标轴对称;

②曲线上的点都在椭圆外;

③曲线上点的横坐标的最大值为

④若点在曲线上(不在轴上),则的面积不大于.其中,所有正确结论的序号是

查看答案和解析>>

科目:高中数学 来源:2015-2016学年江西省等三校高二上第一次联考数学试卷(解析版) 题型:选择题

若圆心在x轴上,半径为的圆C位于y轴左侧,且与直线x+2y=0相切,则圆C的方程是( )

A.(x-)2+y2=5 B.(x+)2+y2=5

C.(x-5)2+y2=5 D.(x+5)2+y2=5

查看答案和解析>>

科目:高中数学 来源:2015-2016学年江西省赣州市十三县高二上期中联考理科数学试卷(解析版) 题型:填空题

已知内一点,满足,,且,则

的面积为__________

查看答案和解析>>

科目:高中数学 来源:2015-2016学年湖南省高一上学期期中考试数学试卷(解析版) 题型:选择题

设函数f(x)定义在实数集上,f(2-x)=f(x),且当x≥1时,f(x)=ln x,则有 ( )

A.f()<f(2)<f(

B.f()<f()<f(2)

C.f()<f(2)<f(

D.f(2)<f()<f(

查看答案和解析>>

科目:高中数学 来源:2015-2016学年河北省邢台市高二上第一次月考数学试卷(解析版) 题型:选择题

一个几何体的三视图如下图所示,其中正视图和侧视图是腰长为1的两个全等的等腰直角三角形,则该几何体的外接球的表面积为

A. B. C. D.

查看答案和解析>>

科目:高中数学 来源:2016届辽宁省葫芦岛市高三上学期期中理科数学试卷(解析版) 题型:填空题

已知,(其中为自然对数的底数),方程有四个实数根,则实数的取值范围为

查看答案和解析>>

同步练习册答案