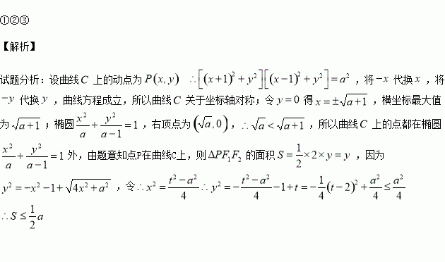
曲线
是平面内与两个定点
和
的距离的积等于常数
的点的轨迹,给出下列四个结论:
①曲线
关于坐标轴对称;
②曲线
上的点都在椭圆
外;
③曲线
上点的横坐标的最大值为
;
④若点
在曲线
上(不在
轴上),则
的面积不大于
.其中,所有正确结论的序号是 .
科目:高中数学 来源:2015-2016学年江苏省无锡市四校高二上学期期中考试数学试卷(解析版) 题型:解答题
如图,四边形ABCD为平行四边形,四边形ADEF是正方形,且BD⊥平面CDE,H是BE的中点,G是AE,DF的交点.
![]()
(1)求证:GH∥平面CDE;
(2)求证:面ADEF⊥面ABCD.
查看答案和解析>>
科目:高中数学 来源:2015-2016学年福建省高二上学期期中考试理科数学试卷(解析版) 题型:解答题
(本小题满分12分) 在△ABC中,a,b,c分别是角A,B,C的对边,且
.
(1)求角B的大小;
(2)若
,求实数b的取值范围.
查看答案和解析>>
科目:高中数学 来源:2015-2016学年山东省临沂市高二上期中模拟理数学试卷(解析版) 题型:解答题
(本题满分13分)某渔业公司年初用98万元购买一艘捕鱼船,第一年各种费用12万元,以后每年都增加4万元,每年捕鱼收益50万元.
(1)问第几年开始获利?
(2)若干年后,有两种处理方案:①年平均获利最大时,以26万元出售该渔船;②总纯收入获利最大时,以8万元出售该渔船.问哪种方案最合算?
查看答案和解析>>
科目:高中数学 来源:2015-2016学年辽宁省大连市高二上期中文科数学试卷(解析版) 题型:填空题
曲线
是平面内与两个定点
和
的距离的积等于常数
的点的轨迹,给出下列四个结论:
①曲线
关于坐标轴对称;
②曲线
过点
;
③若点
在曲线
上(不在
轴上),则
的面积不大于
.
其中,所有正确结论的序号是________ .
查看答案和解析>>
科目:高中数学 来源:2015-2016学年江西省等三校高二上第一次联考数学试卷(解析版) 题型:解答题
(本小题满分12分)直线l的方程为(a+1)x+y+2-a=0(a∈R).
(1)若l在两坐标轴上的截距相等,求a的值;
(2)若l不经过第二象限,求实数a的取值范围.
查看答案和解析>>
科目:高中数学 来源:2015-2016学年湖北省宜昌市高二上期中文科数学试卷(解析版) 题型:选择题
直线
:
与曲线
有两个不同的交点,则实数
的取值范围是( )
A.
B.
C.
D.![]()
查看答案和解析>>
科目:高中数学 来源:2016届云南省玉溪市高三上学期期中理科数学试卷(解析版) 题型:解答题
(本小题满分12分)已知函数
在点
处的切线方程为
.
(1)求函数
的解析式;
(2)设
时,求证:
;
(3)已知
,求证:
.
查看答案和解析>>
湖北省互联网违法和不良信息举报平台 | 网上有害信息举报专区 | 电信诈骗举报专区 | 涉历史虚无主义有害信息举报专区 | 涉企侵权举报专区
违法和不良信息举报电话:027-86699610 举报邮箱:58377363@163.com