精英家教网 > 高中数学 > 题目详情

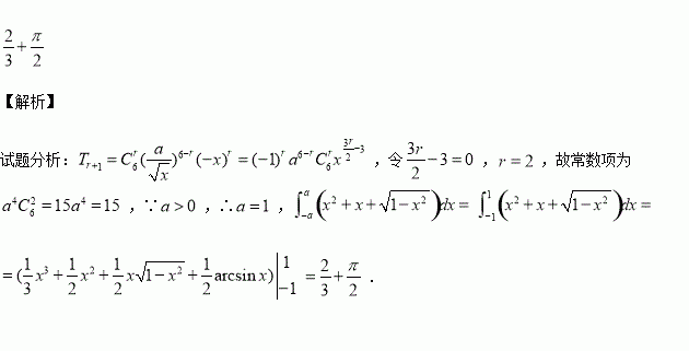
已知展开式的常数项为15,则______.

练习册系列答案
相关习题

科目:高中数学 来源:2015-2016学年河北省高二下期中理科数学试卷(解析版) 题型:填空题

已知方程,则这个方称有_______组正整数解.

查看答案和解析>>

科目:高中数学 来源:2017届江西省、宜春一中高三7月联考文科数学试卷(解析版) 题型:解答题

己知数列是各项均为正数的等差数列,其中,且构成等比数列:数列的前项和为,满足

(1)求数列的通项公式;

(2)如果,设数列的前项和为,是否存在正整数,使得成立,若存在,求出的最小值,若不存在,说明理由.

查看答案和解析>>

科目:高中数学 来源:2017届江西省、宜春一中高三7月联考文科数学试卷(解析版) 题型:选择题

已知是实数,则“”是“”的( ).

A.充分而不必要条件 B.充分必要条件

C.必要而不充分条件 D.既不充分也不必要条件

查看答案和解析>>

科目:高中数学 来源:2017届江西省、宜春一中高三7月联考理科数学试卷(解析版) 题型:解答题

如图,四棱锥中,底面为平行四边形,且,平面平面的中点.

(Ⅰ)证明:平面

(Ⅱ)在中,,三棱锥的体积是,求二面角的大小.

查看答案和解析>>

科目:高中数学 来源:2017届江西省、宜春一中高三7月联考理科数学试卷(解析版) 题型:选择题

设函数的最小正周期为,且,则( )

A.单调递减

B.单调递减

C.单调递增

D.单调递增

查看答案和解析>>

科目:高中数学 来源:2017届江西省、宜春一中高三7月联考理科数学试卷(解析版) 题型:选择题

是假命题”是“为真命题”的( )

A.充分不必要条件

B.必要不充分条件

C.充要条件

D.既不充分也不必要条件

查看答案和解析>>

科目:高中数学 来源:2015-2016学年安徽省高一下期末数学试卷(解析版) 题型:选择题

已知成等差数列,成等比数列,那么的值为( )

A.-5 B.5 C. D.

查看答案和解析>>

科目:高中数学 来源:2015-2016学年黑龙江鹤岗一中高二下期末理科数学试卷(解析版) 题型:选择题

函数的图象大致为( )

查看答案和解析>>

同步练习册答案