精英家教网 > 高中数学 > 题目详情

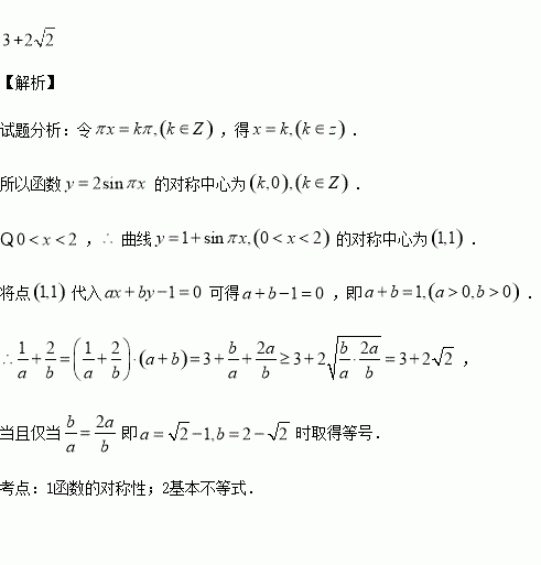
若直线过曲线的对称中心,则的最小值为

练习册系列答案
相关习题

科目:高中数学 来源:2016届湖北武汉华中师大一附等高三上第一次联考理数学卷(解析版) 题型:解答题

在等比数列中,

(1)求数列的通项公式;

(2)设,且为递增数列,若,求证:

查看答案和解析>>

科目:高中数学 来源:2014-2015学年贵州省高二上学期半期考试文科数学试卷(解析版) 题型:选择题

”是“方程表示焦点在轴上的双曲线”的( ).

A.充分而不必要条件 B.必要而不充分条件

C.充分必要条件 D.既不充分也不必要条件

查看答案和解析>>

科目:高中数学 来源:2016届湖南师范大学附中高三上学期月考三文科数学试卷(解析版) 题型:解答题

已知函数

(1)求函数的最小正周期;

(2)将函数的图象向下平移个单位,再将图象上各点的纵坐标伸长到原来的2倍(横坐标不变),得到函数的图象,求使成立的的取值集合.

查看答案和解析>>

科目:高中数学 来源:2016届湖南师范大学附中高三上学期月考三理科数学试卷(解析版) 题型:选择题

已知的面积为1,为直角顶点.设向量,则的最大值为( )

A.1 B.2 C.3 D.4

查看答案和解析>>

科目:高中数学 来源:2016届甘肃省高三12月月考理科数学试卷(解析版) 题型:解答题

已知椭圆的两焦点与短轴的一个端点的连线构成等腰直角三角形,

直线与以椭圆C的右焦点为圆心,以椭圆的长半轴长为半径的圆相切.

(Ⅰ)求椭圆C的方程;

(Ⅱ)设P为椭圆C上一点,若过点的直线与椭圆C相交于不同的两点S和T,满足(O为坐标原点),求实数的取值范围.

查看答案和解析>>

科目:高中数学 来源:2016届福建省高三上学期半期考试文科数学试卷(解析版) 题型:解答题

△ABC中内角A,B,C的对边分别为a,b,c,向量

(1)求锐角B的大小;

(2)如果b=2,求△ABC的面积的最大值.

查看答案和解析>>

科目:高中数学 来源:2015-2015学年云南省玉溪市高一上学期期中数学试卷(解析版) 题型:填空题

已知函数是定义在上的奇函数,当时,,则时,=________.

查看答案和解析>>

科目:高中数学 来源:2016届湖南师大附中高三月考四文科数学试卷(解析版) 题型:选择题

如图,是双曲线的左、右焦点,过的直线与双曲线的左右两支分别交于点.若为等边三角形,则双曲线的离心率为( )

A.4 B. C. D.

查看答案和解析>>

同步练习册答案