精英家教网 > 高中数学 > 题目详情

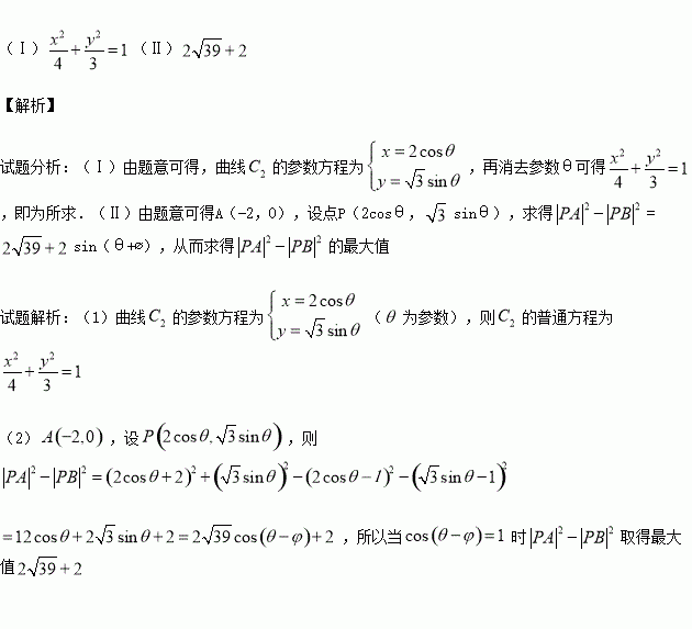
已知曲线的参数方程为为参数),将曲线上所有点的横坐标伸长到原来的2倍,纵坐标伸长到原来的倍,得到曲线.

(Ⅰ)求曲线的普通方程;

(Ⅱ)已知点,曲线轴负半轴交于点为曲线上任意一点,求的最大值.

练习册系列答案
相关习题

科目:高中数学 来源:2015-2016学年浙江台州市高一下学期期中数学试卷(解析版) 题型:解答题

已知数列满足

(1)设,当时,求数列的通项公式;

(2)设求正整数使得一切均有.

查看答案和解析>>

科目:高中数学 来源:2015-2016学年浙江台州市高二下学期期中数学试卷(解析版) 题型:选择题

设函数,观察:,,根据以上事实,由归纳推理可得当N*且时,

A. B.

C. D.

查看答案和解析>>

科目:高中数学 来源:2015-2016学年黑龙江绥棱县一中高二6月月考数学(文)试卷(解析版) 题型:选择题

已知函数是定义在R上的奇函数,当时,,则函数的大致图象为

查看答案和解析>>

科目:高中数学 来源:2015-2016学年黑龙江绥棱县一中高二6月月考数学(文)试卷(解析版) 题型:选择题

直线l过抛物线C:x2=4y的焦点且与y轴垂直,则l与C所围成的图形的面积等于( )

A. B.2 C. D.

查看答案和解析>>

科目:高中数学 来源:2015-2016学年黑龙江绥棱县一中高二6月月考数学(理)试卷(解析版) 题型:解答题

已知正项数列满足

(1)求数列的通项公式;

(2)设,求数列的前n项和Tn。

查看答案和解析>>

科目:高中数学 来源:2015-2016学年黑龙江绥棱县一中高二6月月考数学(理)试卷(解析版) 题型:选择题

抛物线与双曲线有相同的焦点,点A是两曲线的交点,且AFx轴,则双曲线的离心率为

A. B. C. D.

查看答案和解析>>

科目:高中数学 来源:2015-2016学年甘肃天水三中高一下学期期中数学试卷(解析版) 题型:填空题

满足tan(x+)≥﹣的x的集合是

查看答案和解析>>

科目:高中数学 来源:2016届辽宁省高三第四次模拟数学(理)试卷(解析版) 题型:解答题

选修4-1:几何证明选讲

如图,圆与圆相交于两点, 是圆的直径, 过点作圆的切线交圆于点,

并与的延长线交于分别与圆、圆交于两点.

(1)求证:

(2)求证:.

查看答案和解析>>

同步练习册答案