精英家教网 > 高中数学 > 题目详情

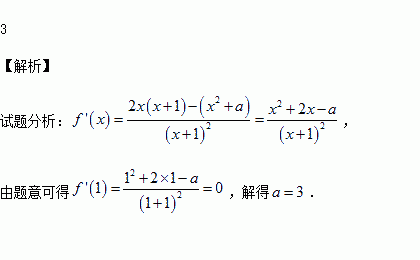
若函数处取极值,则

练习册系列答案
相关习题

科目:高中数学 来源:2016届内蒙古赤峰二中高三上12月月考文科数学试卷(解析版) 题型:选择题

设集合,集合,则集合中元素的个数是( )

A. B. C. D.

查看答案和解析>>

科目:高中数学 来源:2015-2016学年湖北航天高中等校高二上学期期中联考数学试卷(解析版) 题型:选择题

用“辗转相除法”求得的最大公约数是( )

A. B. C. D.

查看答案和解析>>

科目:高中数学 来源:2015-2016学年浙江省温州市高二上学期期中考试数学试卷(解析版) 题型:选择题

设四边形的四条边长为,其四个顶点分别在单位正方形的四条边上,

的最小值为( )

A. B. C. D.

查看答案和解析>>

科目:高中数学 来源:2015-2016学年湖北省襄阳市等高一上学期期中联考数学试卷(解析版) 题型:选择题

用二分法求函数零点的近似值时,如果确定零点所处的初始区间为,那么的取值范围为( )

A. B. C. D.

查看答案和解析>>

科目:高中数学 来源:2015-2016学年湖南株洲二中高二上第三次月考理数学卷(解析版) 题型:选择题

函数y=x2-ln x的单调递减区间为( )

A.(-1,1] B.(0,1] C.[1,+∞) D.(0,+∞)

查看答案和解析>>

科目:高中数学 来源:2016届辽宁省大连市高三12月月考文科数学试卷(解析版) 题型:解答题

设函数

(1)若,求的单调区间;

(2)若当时,,求的取值范围.

查看答案和解析>>

科目:高中数学 来源:2016届山东省枣庄市高三12月月考文科数学试卷(解析版) 题型:解答题

函数

(1)求的值;

(2)求函数的最小正周期及单调递增区间.

查看答案和解析>>

科目:高中数学 来源:2016届福建省高三上学期期中理科数学试卷(解析版) 题型:选择题

设全集,则( )

A、 B、 C、 D、

查看答案和解析>>

同步练习册答案