精英家教网 > 高中数学 > 题目详情

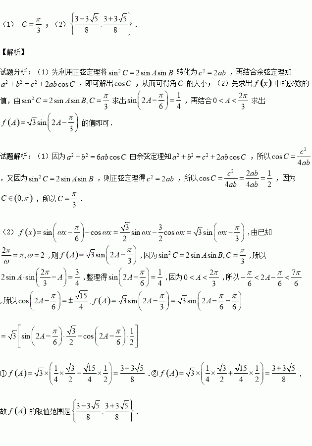
中,内角所对的边分别为.

(1)求角的大小;

(2)设函数,且图像上相邻两最高点间的距离为,求 的取值范围.

练习册系列答案
相关习题

科目:高中数学 来源:2016届海南师范大学附属中学高三临考模拟数学试卷(解析版) 题型:填空题

已知数列中,.设,若对任意的正整数,当时,不等式恒成立,则实数的取值范围是_______.

查看答案和解析>>

科目:高中数学 来源:2016届贵州省高三第十次月考文科数学试卷(解析版) 题型:解答题

选修4—4: 坐标系与参数方程

在平面直角坐标系中,直线过点,倾斜角.在以坐标原点为极点,轴的正半轴为极轴建立的极坐标系中,曲线的极坐标方程为

(Ⅰ)求直线的参数方程与曲线的直角坐标方程;

(Ⅱ)直线与曲线相交于两点,求点两点的距离之积.

查看答案和解析>>

科目:高中数学 来源:2016届贵州省高三第十次月考文科数学试卷(解析版) 题型:选择题

在直角坐标平面内,不等式组所表示的平面区域的面积为( )

A. B. C. D.

查看答案和解析>>

科目:高中数学 来源:2016届安徽师大附中高三最后一卷理科数学试卷(解析版) 题型:解答题

选修4-1:几何证明选讲

如图,四边形内接于的直径于点平分.

(1)证明:的切线;

(2)如果,求.

查看答案和解析>>

科目:高中数学 来源:2016届安徽师大附中高三最后一卷理科数学试卷(解析版) 题型:选择题

已知函数是定义域为的偶函数,当时,,若关于的方程,有且仅有个不同实数根,则实数的取值范围是( )

A. B.

C. D.

查看答案和解析>>

科目:高中数学 来源:2016届安徽师大附中高三最后一卷理科数学试卷(解析版) 题型:选择题

已知数列中,利用如图所示的程序框图计算该数列的第项,则判断框中应填的语句是( )

A. B. C. D.

查看答案和解析>>

科目:高中数学 来源:2016届安徽师大附中高三最后一卷文科数学试卷(解析版) 题型:选择题

如图,在正四棱柱,点是平面内的一个动点,则三棱锥的正视图与俯视图的面积之比的最大值为( )

A. B. C. D.

查看答案和解析>>

科目:高中数学 来源:2016届江西省高三第三次模拟文科数学试卷(解析版) 题型:填空题

数列的前项和为,且,则数列的通项公式 .

查看答案和解析>>

同步练习册答案