精英家教网 > 高中数学 > 题目详情
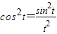
已知,则(1+t2)(1+cos2t)-2的值为   
【答案】分析:由两向量垂直的坐标表示得出一个等式,把(1+t2)(1+cos2t)-2运用二倍角的余弦公式整理后代入等式即可得到答案.
解答:解:因为
,得:-sint×1+(-t)×cost=0,
所以sint+tcost=0,
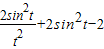
(1+t2)(1+cos2t)-2=2(1+t2)cos2t-2
=
故答案为
点评:本题考查了数量积判断两个平面向量垂直的关系,考查了同角三角函数的基本关系式和学生的运算能力,此题为中低档题.
练习册系列答案
相关习题

科目:高中数学 来源: 题型:

已知直线l:
x=
t
2
   
y=t+1
(其中t为参数)与曲线C:x2+y2=1,则直线l与曲线C的位置关系是(  )
A、相离B、相切
C、相交D、不能确定,与t有关

查看答案和解析>>

科目:高中数学 来源: 题型:

已知关于t的方程t2-2t+a=0的一个根为1+
3
i(a∈R),则实数a的值为
 

查看答案和解析>>

科目:高中数学 来源: 题型:

已知幂函数f(x)=(t2-t+1)x
7+3t-2t2
5
(t∈N)
是偶函数,则实数t的值为(  )

查看答案和解析>>

科目:高中数学 来源: 题型:

已知
a
=(-sint,cost),
b
=(1,-t),
a
b
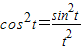
,则(1+t2)(1+cos2t)-2的值为
2sin2t
t2
+2sin2t-2
2sin2t
t2
+2sin2t-2

查看答案和解析>>

同步练习册答案