精英家教网 > 高中数学 > 题目详情

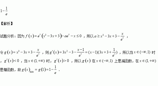
设函数,若不等式有解,则实数的最小值为 .

练习册系列答案
相关习题

科目:高中数学 来源:2016-2017学年山东鄄城县一中高一上调研一数学试卷(解析版) 题型:解答题

某市居民自来水收费标准如下:每户每月用水不超过4吨时,每吨为1.80元,当用水超过4吨时,超过部分每吨3.00元,某月甲、乙两户共缴水费元,已知甲、乙两户该月用水量分别为吨,吨.

(1)求关于的函数解析式;

(2)若甲、乙两户该月共缴水费26.4元,分别求出甲、乙两户该月的用水量和水费.

查看答案和解析>>

科目:高中数学 来源:2017届山东潍坊中学高三上学期开学考数学(文)试卷(解析版) 题型:解答题

已知函数

(Ⅰ)当时,求曲线在点处的切线方程;

(Ⅱ)当时,试讨论函数的单调性;

(Ⅲ)设斜率为的直线与函数的图象交于两点),证明:

查看答案和解析>>

科目:高中数学 来源:2017届山东潍坊中学高三上学期开学考数学(文)试卷(解析版) 题型:选择题

,则( )

A. B. C. D.

查看答案和解析>>

科目:高中数学 来源:2017届重庆市高三上学期入学考试数学(文)试卷(解析版) 题型:解答题

设函数

(1)求函数的单调区间;

(2)设是否存在极值,若存在,请求出极值;若不存在,请说明理由;

(3)当时.证明:

查看答案和解析>>

科目:高中数学 来源:2017届重庆市高三上学期入学考试数学(文)试卷(解析版) 题型:选择题

函数为定义在上的偶函数,且满足,当,则( )

A. B. C. D.

查看答案和解析>>

科目:高中数学 来源:2017届重庆市高三上学期入学考试数学(文)试卷(解析版) 题型:选择题

已知函数,若的取值范围是( )

A. B.

C. D.

查看答案和解析>>

科目:高中数学 来源:2017届湖南衡阳县四中高三9月月考数学(理)试卷(解析版) 题型:选择题

要得到函数的图像,只需要将函数的图像( )

A.向左平移个单位 B.向右平移个单位

C.向左平移个单位 D.向右平移个单位

查看答案和解析>>

科目:高中数学 来源:2015-2016学年广西柳州铁路一中高一下期末数学试卷(解析版) 题型:填空题

已知平面向量,且,则=

查看答案和解析>>

同步练习册答案