精英家教网 > 高中数学 > 题目详情

【题目】选修4-4:坐标系与参数方程

在平面直角坐标系中,以坐标原点为极点,轴的非负半轴为极轴建立极坐标系,已知曲线的极坐标方程为,它在点处的切线为直线

(Ⅰ)求直线的直角坐标方程;

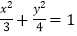
(Ⅱ)已知点为椭圆上一点,求点到直线的距离的取值范围.

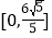
【答案】1;(2.

【解析】试题分析:(1)对曲线的极坐标方程两边乘以化为直角坐标方程.利用导数可求得曲线在处的切线方程.(2)设出椭圆的参数方程,利用点到直线距离公式和三角恒等变换的知识,可求得到直线距离的取值范围.

试题解析:

选修4-4:坐标系与参数方程

解:(Ⅰ)∵曲线的极坐标方程为

,∴曲线的直角坐标方程为

的直角坐标为(2,2),

,∴.

∴曲线在点(2,2)处的切线方程为

即直线的直角坐标方程为.

(Ⅱ)为椭圆上一点,设

到直线的距离

时,有最小值0.

时,有最大值.

到直线的距离的取值范围为[0, ].

练习册系列答案
相关习题

科目:高中数学 来源: 题型:

【题目】已知定义在上的函数的图像经过点,且在区间单调递减,又知函数为偶函数,则关于的不等式的解为 ( )

A. B. C. D.

查看答案和解析>>

科目:高中数学 来源: 题型:

【题目】某地政府决定建造一批保障房供给社会,缓解贫困人口的住房问题,计划用1 600万元购得一块土地,在该土地上建造10幢楼房的住宅小区,每幢楼的楼层数相同,且每层建筑面积均为1 000平方米,每平方米的建筑费用与楼层有关,第x层楼房每平方米的建筑费用为(kx+800)元(其中k为常数).经测算,若每幢楼为5层,则该小区每平方米的平均综合费用为1 270元.

注:每平方米平均综合费用=.

(1) 求k的值;

(2) 问要使该小区楼房每平方米的平均综合费用最低,应将这10幢楼房建成多少层?此时每平方米的平均综合费用为多少元?

查看答案和解析>>

科目:高中数学 来源: 题型:

【题目】某医药研究所开发的一种药,如果成年人按规定的剂量服用,据监测,服药后每毫升中的含药量(微克)与时间(小时)之间近似满足如图所示的曲线.(当时, .

1)写出第一次服药后之间的函数关系式

2)据进一步测定,每毫升血液中含药量不少于微克时,治疗疾病有效,求服药一次后治疗疾病有效时间.

查看答案和解析>>

科目:高中数学 来源: 题型:

【题目】设函数 的定义域是R,对于任意实数 ,恒有,且当 时,

1求证: ,且当 时,有

2判断 R上的单调性;

3设集合AB,若A∩B,求的取值范围。

查看答案和解析>>

科目:高中数学 来源: 题型:

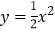
【题目】方程的根的个数是____________

查看答案和解析>>

科目:高中数学 来源: 题型:

【题目】已知椭圆的两个顶点分别为,焦点在轴上,离心率为

(Ⅰ)求椭圆的方程;

(Ⅱ)点轴上一点,过轴的垂线交椭圆于不同的两点,过的垂线交于点.求的面积之比.

查看答案和解析>>

科目:高中数学 来源: 题型:

【题目】已知曲线上的动点满足到点的距离比到直线的距离小1.

(1)求曲线的方程;

(2)动点在直线上,过点分别作曲线的切线,切点为.直线是否恒过定点,若是,求出定点坐标,若不是,请说明理由.

查看答案和解析>>

科目:高中数学 来源: 题型:

【题目】已知ABC是△ABC的三个内角,向量m=(-1, ),n=(cosA,sinA),且m·n=1.

(1)求角A

(2)若=-3,求tanC.

查看答案和解析>>

同步练习册答案