精英家教网 > 高中数学 > 题目详情

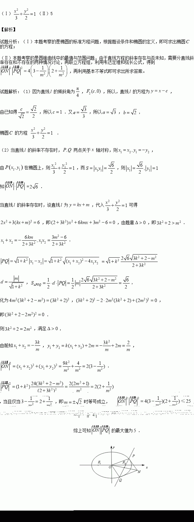
(本小题满分12分)已知椭圆,其中为左、右焦点,且离心率,直线与椭圆交于两不同点.当直线过椭圆C右焦点F2且倾斜角为时,原点O到直线的距离为

(Ⅰ)求椭圆C的方程;

(Ⅱ)若,当面积为时,求的最大值.

练习册系列答案
相关习题

科目:高中数学 来源:2015-2016学年广东省普宁市高二上期中文科数学试卷(解析版) 题型:选择题

为等差数列的前项和,,则= ( )

A. B. C. D.2

查看答案和解析>>

科目:高中数学 来源:2016届辽宁省抚顺市高三上学期第一次模拟文科数学试卷(解析版) 题型:解答题

(本小题满分10分)选修4-4:坐标系与参数方程.

已知直线为参数),曲线为参数).

(Ⅰ)设相交于两点,求

(Ⅱ)若把曲线上各点的横坐标压缩为原来的倍,纵坐标压缩为原来的倍,得到曲线,设点是曲线上的一个动点,求它到直线的距离的最小值.

查看答案和解析>>

科目:高中数学 来源:2016届黑龙江省牡丹江市高三上学期期中理科数学试卷(解析版) 题型:选择题

设集合,则( )

A. B. C. D.

查看答案和解析>>

科目:高中数学 来源:2016届福建省高三上学期期中理科数学试卷(解析版) 题型:解答题

(本小题满分11分)已知数列的前项和

(1)求数列的通项公式;

(2)证明:对任意,都有,使得成等比数列.

查看答案和解析>>

科目:高中数学 来源:2015-2016学年江西南昌二中高二上学期期中理科数学试卷(解析版) 题型:解答题

(本小题满分12分)如图,椭圆)和圆,已知圆将椭圆的长轴三等分,且圆的面积为.椭圆的下顶点为,过坐标原点且与坐标轴不重合的任意直线与圆相交于点,直线与椭圆的另一个交点分别是点

(1)求椭圆的方程;

(2)(Ⅰ)设的斜率为,直线斜率为,求的值;

(Ⅱ)求△面积最大时直线的方程.

查看答案和解析>>

科目:高中数学 来源:2015-2016学年吉林省高一上学期期中数学试卷(解析版) 题型:填空题

函数的单调递减区间为

查看答案和解析>>

科目:高中数学 来源:2015-2016学年湖南省常德市高一上学期期中数学试卷(解析版) 题型:选择题

设集合,则从A到B所建立的映射中,满足的个数是( )

A.2 B.6 C.7 D.27

查看答案和解析>>

科目:高中数学 来源:2016届浙江宁波效实中学高三上期中考试文科数学试卷(解析版) 题型:选择题

”是“”的( )

A.充分不必要条件 B.必要不充分条件

C.充要条件 D.既不充分也不必要条件

查看答案和解析>>

同步练习册答案