精英家教网 > 高中数学 > 题目详情

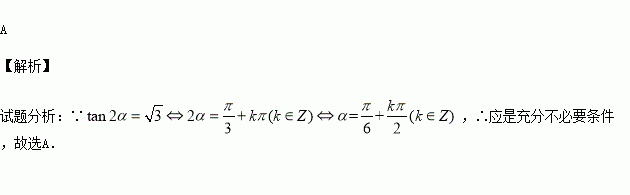
”是“”的( )

A.充分不必要条件 B.必要不充分条件

C.充要条件 D.既不充分也不必要条件

练习册系列答案
相关习题

科目:高中数学 来源:2015-2016学年江西南昌二中高二上学期期中文科数学试卷(解析版) 题型:解答题

(本小题满分12分)已知椭圆,其中为左、右焦点,且离心率,直线与椭圆交于两不同点.当直线过椭圆C右焦点F2且倾斜角为时,原点O到直线的距离为

(Ⅰ)求椭圆C的方程;

(Ⅱ)若,当面积为时,求的最大值.

查看答案和解析>>

科目:高中数学 来源:2015-2016学年广东省佛山市高一上学期期中数学试卷(解析版) 题型:选择题

,则的大小关系是( )

B. C. D.

查看答案和解析>>

科目:高中数学 来源:2015-2016学年甘肃省嘉峪关市高二上学期期中考试文科数学试卷(解析版) 题型:选择题

等差数列的前n项和为Sn ,若( )

A.130 B.170 C.210 D.260

查看答案和解析>>

科目:高中数学 来源:2015-2016学年甘肃省嘉峪关市高二上学期期中考试理科数学试卷(解析版) 题型:选择题

等比数列中,,则( )

A.4 B.8 C.16 D.32

查看答案和解析>>

科目:高中数学 来源:2016届山东省高三第二次诊断性考试文科数学试卷(解析版) 题型:解答题

(本小题满分12分)

已知

(Ⅰ)求函数的单调区间;

(Ⅱ)对一切的时,恒成立,求实数的取值范围.

查看答案和解析>>

科目:高中数学 来源:2016届山东省高三第二次诊断性考试理科数学试卷(解析版) 题型:填空题

若函数的最大值为4,最小值为,则实数的值为

查看答案和解析>>

科目:高中数学 来源:2015-2016学年四川绵阳南山中学高二上期中文科数学试卷(解析版) 题型:选择题

下列说法的正确的是

A.经过定点的直线都可以用方程表示

B.经过定点的直线都可以用方程表示

C.不经过原点的直线都可以用方程表示

D.经过任意两个不同的点的直线都可以用方程来表示

查看答案和解析>>

科目:高中数学 来源:2015-2016学年湖北省枣阳市高二10月月考理科数学试卷(解析版) 题型:选择题

在2011年孝感高中“校园十佳歌手”大赛中,七位评委为一选手打出的分数如下:

90 89 90 95 93 94 93

去掉一个最高分和一个最低分后,所剩数据的平均值和方差分别为( )

A.92,2 B.92,2.8 C.93,2 D.93,2.8

查看答案和解析>>

同步练习册答案