精英家教网 > 高中数学 > 题目详情

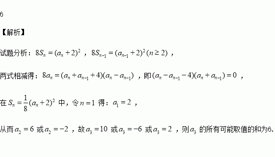
设数列的前项和为,若,则的所有可能取值的和为 .

练习册系列答案
相关习题

科目:高中数学 来源:2015-2016学年山西省高一下期中理科数学试卷(解析版) 题型:选择题

函数的定义域为,若函数满足:(1)上为单调函数;(2)存在区间,使得上的值域为,则称函数为“取半函数”.若,且为“取半函数”,则的取值范围是( )

A. B. C. D.

查看答案和解析>>

科目:高中数学 来源:2015-2016学年湖北荆州中学高一下第一次质检理数学卷(解析版) 题型:填空题

设奇函数上是增函数,且,若函数对所有的都成立,则的取值范围是

查看答案和解析>>

科目:高中数学 来源:2016届江苏省高三考前一周双练一数学试卷(解析版) 题型:填空题

在平面直角坐标系中,点和两个动点满足,动点满足,设动点的轨迹为.

(1)求的值;

(2)求轨迹的方程;

(3)证明:轨迹的任意两条互相垂直的切线的交点均在直线上.

查看答案和解析>>

科目:高中数学 来源:2016届江苏省高三考前一周双练一数学试卷(解析版) 题型:解答题

如图,在平面直角坐标系中,已知椭圆的离心率为,点在椭圆上,射线与椭圆的另一交点为,点在椭圆内部,射线与椭圆的另一交点分别为.

(1)求椭圆的方程;

(2)求证:直线的斜率为定值.

查看答案和解析>>

科目:高中数学 来源:2016届江苏省高三考前一周双练一数学试卷(解析版) 题型:填空题

已知正数满足,则的最小值为 .

查看答案和解析>>

科目:高中数学 来源:2016届江苏省高三考前一周双练一数学试卷(解析版) 题型:选择题

已知集合,则 .

查看答案和解析>>

科目:高中数学 来源:2015-2016学年江苏省高一下期中数学试卷(解析版) 题型:填空题

已知等差数列的前项和为,若,则公差等于

查看答案和解析>>

科目:高中数学 来源:2015-2016学年江苏南通中学高一下期中理科数学卷(解析版) 题型:填空题

已知复数满足是虚数单位),则=

查看答案和解析>>

同步练习册答案