精英家教网 > 高中数学 > 题目详情

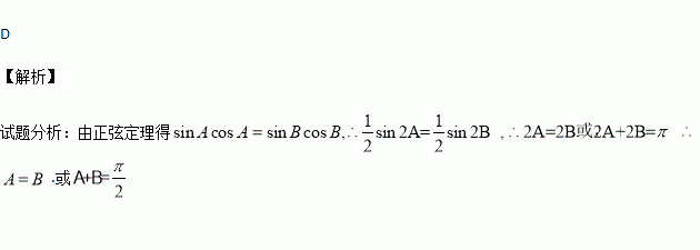
中,若,则

A.等腰三角形

B.直角三角形

C.等腰直角三角形

D.等腰直角三角形或直角三角形

练习册系列答案
相关习题

科目:高中数学 来源:2016届山东师大附中高三上学期第三次模拟理科数学试卷(解析版) 题型:填空题

已知,动点满足,且,点所在平面区域的面积为__________.

查看答案和解析>>

科目:高中数学 来源:2015-2016学年湖南省株洲市高二上期中数学试卷(解析版) 题型:解答题

已知函数

(1)当时,求函数的单调区间;

(2)若函数恒成立,求实数的取值范围.

查看答案和解析>>

科目:高中数学 来源:2015-2016学年湖南省高二上期中数学试卷(解析版) 题型:解答题

命题p:实数x满足,其中a<0,命题q:实数x满足,且的必要不充分条件,求a的取值范围.

查看答案和解析>>

科目:高中数学 来源:2015-2016学年河南省高二上期中文科数学试卷(解析版) 题型:选择题

中,若,则

A.等腰三角形B.直角三角形

C.等腰直角三角形D.等腰直角三角形或直角三角形

查看答案和解析>>

科目:高中数学 来源:2015-2016学年河南省林州市高一上期中数学试卷(解析版) 题型:选择题

下列函数是偶函数的是

A. B.

C. D.

查看答案和解析>>

科目:高中数学 来源:2015-2016学年河北邢台一中高二上第三次月考理科数学卷(解析版) 题型:选择题

已知椭圆的一个焦点为F(0,1),离心率,则椭圆的标准方程为( )

A. B. C. D.

查看答案和解析>>

科目:高中数学 来源:2015-2016学年贵州省高二上滾动训练4数学试卷(解析版) 题型:解答题

证明“0≤a≤”是“函数f(x)=ax2+2(a-1)x+2在区间(-∞,4]上为减函数”的充分不必要条件.

查看答案和解析>>

科目:高中数学 来源:2015-2016学年安徽省蚌埠市高二上期中文科数学试卷(解析版) 题型:填空题

若直线不经过第二象限,则实数的取值范围是

查看答案和解析>>

同步练习册答案