精英家教网 > 高中数学 > 题目详情
已知函数f(x)=log9(9x+1)+kx(k∈R)是偶函数.
(1)求k的值;
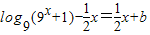
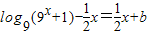
(2)若函数y=f(x)的图象与直线没有交点,求b的取值范围;
(3)设,若函数f(x)与h(x)的图象有且只有一个公共点,求实数a的取值范围.
【答案】分析:(1)因为f(x)为偶函数所以f(-x)=f(x)代入求得k的值即可;
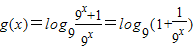
(2)函数与直线没有交点即无解,即方程log9(9x+1)-x=b无解.令g(x)=log9(9x+1)-x,则函数y=g(x)的图象与直线y=b无交点.推出g(x)为减函数得到g(x)>0,所以让b≤0就无解.
(3)函数f(x)与h(x)的图象有且只有一个公共点,即联立两个函数解析式得到方程,方程只有一个解即可.
解答:解:(1)因为y=f(x)为偶函数,所以?x∈R,f(-x)=f(x),
即log9(9-x+1)-kx=log9(9x+1)+kx对于?x∈R恒成立.
恒成立
即(2k+1)x=0恒成立,
而x不恒为零,所以
(2)由题意知方程即方程log9(9x+1)-x=b无解.
令g(x)=log9(9x+1)-x,则函数y=g(x)的图象与直线y=b无交点.
因为
任取x1、x2∈R,且x1<x2,则,从而
于是,即g(x1)>g(x2),
所以g(x)在(-∞,+∞)是单调减函数.
因为,所以.所以b的取值范围是(-∞,0].
(3)由题意知方程有且只有一个实数根.
令3x=t>0,则关于t的方程(记为(*))有且只有一个正根.
若a=1,则,不合,舍去;
若a≠1,则方程(*)的两根异号或有两相等正根.
或-3;但,不合,舍去;而
方程(*)的两根异号?(a-1)•(-1)<0,即-a+1<0,解得:a>1.
综上所述,实数a的取值范围{-3}∪(1,+∞).
点评:考查学生运用函数奇偶性的能力,以及函数与方程的综合运用能力.
练习册系列答案
相关习题

科目:高中数学 来源: 题型:

已知函数f(x)=2x-2+ae-x(a∈R)
(1)若曲线y=f(x)在点(1,f(1))处的切线平行于x轴,求a的值;
(2)当a=1时,若直线l:y=kx-2与曲线y=f(x)在(-∞,0)上有公共点,求k的取值范围.

查看答案和解析>>

科目:高中数学 来源: 题型:

已知函数f(x)=x2+2|lnx-1|.
(1)求函数y=f(x)的最小值;
(2)证明:对任意x∈[1,+∞),lnx≥
2(x-1)
x+1
恒成立;
(3)对于函数f(x)图象上的不同两点A(x1,y1),B(x2,y2)(x1<x2),如果在函数f(x)图象上存在点M(x0,y0)(其中x0∈(x1,x2))使得点M处的切线l∥AB,则称直线AB存在“伴侣切线”.特别地,当x0=
x1+x2
2
时,又称直线AB存在“中值伴侣切线”.试问:当x≥e时,对于函数f(x)图象上不同两点A、B,直线AB是否存在“中值伴侣切线”?证明你的结论.

查看答案和解析>>

科目:高中数学 来源: 题型:

已知函数f(x)=x2-bx的图象在点A(1,f(1))处的切线l与直线x+3y-1=0垂直,若数列{
1
f(n)
}的前n项和为Sn,则S2012的值为(  )

查看答案和解析>>

科目:高中数学 来源: 题型:

已知函数f(x)=xlnx
(Ⅰ)求函数f(x)的极值点;
(Ⅱ)若直线l过点(0,-1),并且与曲线y=f(x)相切,求直线l的方程.

查看答案和解析>>

科目:高中数学 来源: 题型:

已知函数f(x)=
3
x
a
+
3
(a-1)
x
,a≠0且a≠1.
(1)试就实数a的不同取值,写出该函数的单调增区间;
(2)已知当x>0时,函数在(0,
6
)上单调递减,在(
6
,+∞)上单调递增,求a的值并写出函数的解析式;
(3)记(2)中的函数图象为曲线C,试问是否存在经过原点的直线l,使得l为曲线C的对称轴?若存在,求出直线l的方程;若不存在,请说明理由.

查看答案和解析>>

同步练习册答案