精英家教网 > 高中数学 > 题目详情

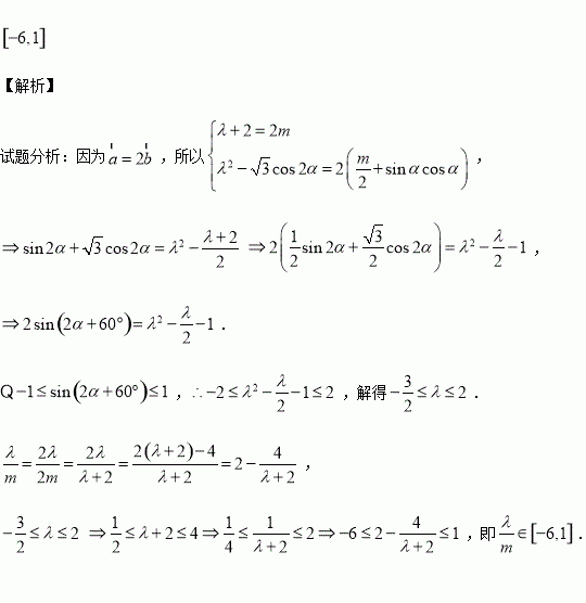
设向量,其中为实数,若,则的取值范围为

练习册系列答案
相关习题

科目:高中数学 来源:2014-2015学年山西省高一下期末数学试卷(解析版) 题型:填空题

在△ABC中,∠BAC=90°,AB=6,D为斜边BC的中点,则的值为

查看答案和解析>>

科目:高中数学 来源:2016届江苏省高三上学期第二次月考理科数学试卷(解析版) 题型:填空题

命题“”的否定是

查看答案和解析>>

科目:高中数学 来源:2016届湖北省、宜昌一中高三10月联考文科数学试卷(解析版) 题型:选择题

已知等差数列满足,则=( )

A. B. C. D.

查看答案和解析>>

科目:高中数学 来源:2015-2016学年甘肃省高一上学期期中数学试卷(解析版) 题型:解答题

(本小题满分10分)设,求函数的最大值和最小值及相应的值.

查看答案和解析>>

科目:高中数学 来源:2016届浙江省瑞安市高三上学期第一次四校联考理科数学试卷(解析版) 题型:解答题

(本题满分12分)在△ABC中,a、b、c分别是角A、B、C的对边,且

(Ⅰ)求角B的大小;

(Ⅱ)若,求△ABC的面积.

查看答案和解析>>

科目:高中数学 来源:2016届江苏省高三九月月考数学试卷(解析版) 题型:填空题

若变量满足,则的最大值为

查看答案和解析>>

科目:高中数学 来源:2015-2016学年江西省高二上学期第一次月考数学试卷(解析版) 题型:选择题

下列推理错误的是( )

A.A∈l,A∈α,B∈l,B∈α⇒lα

B.A∈α,A∈β,B∈α,B∈β⇒α∩β=AB

C.lα,A∈l⇒A∉α

D.A∈l,lα⇒A∈α

查看答案和解析>>

科目:高中数学 来源:2015-2016学年广东省普宁市高一上学期第一次月考数学试卷(解析版) 题型:选择题

一个平面四边形的斜二测画法的直观图是一个边长为a的正方形,则原平面四边形的面积等于( )

A.a2 B.2a2 C.a2 D.a2

查看答案和解析>>

同步练习册答案