精英家教网 > 高中数学 > 题目详情

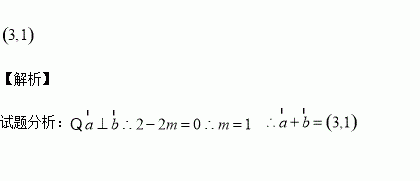
已知平面向量,则=

练习册系列答案
相关习题

科目:高中数学 来源:2016届天津市和平区高三三模理科数学试卷(解析版) 题型:解答题

如图, 在三棱锥中, 底面,点分别在棱上,, 且.

(1)求证:平面

(2)当点的中点时, 求与平面所成角的正切值;

(3)是否存在点使得二面角为直二面角?并说明理由.

查看答案和解析>>

科目:高中数学 来源:2015-2016学年浙江省杭州市七校高一下期中数学试卷(解析版) 题型:解答题

已知A,B,C的坐标分别为.

(1)若,求的值;

(2)若,求

查看答案和解析>>

科目:高中数学 来源:2015-2016学年浙江省杭州市七校高一下期中数学试卷(解析版) 题型:选择题

把函数)的图象上所有点向左平行移动个单位长度,再把所得图象上所有点的横坐标缩短到原来的倍(纵坐标不变),得到的图象所表示的函数是( )

A.

B.

C.

D.

查看答案和解析>>

科目:高中数学 来源:2015-2016学年湖南省株洲市高一下期中理科数学试卷(解析版) 题型:解答题

已知,且夹角为,求

(1)

(2)的夹角.

查看答案和解析>>

科目:高中数学 来源:2015-2016学年湖南省株洲市高一下期中理科数学试卷(解析版) 题型:选择题

要得到函数y=sin(2x-)的图象,只要将函数y=sin2x的图象 ( )

A.向左平行移动个单位

B.向左平行移动个单位

C.向右平行移动个单位

D.向右平行移动个单位

查看答案和解析>>

科目:高中数学 来源:2015-2016学年湖南省株洲市高一下期中理科数学试卷(解析版) 题型:选择题

下列各角中与240°角终边相同的角为( )

A. B.- C.- D.

查看答案和解析>>

科目:高中数学 来源:2015-2016学年湖南省、四中高一下期中数学试卷(解析版) 题型:选择题

某程序框图如图所示,若输出s=57,那么判断框内应填入( )

A.k>4? B. k>5? C. k>6? D. k>7?

查看答案和解析>>

科目:高中数学 来源:2015-2016学年湖北省黄冈市蕲春县高二下期中理科数学试卷(解析版) 题型:选择题

从7名男生和5名女生中选4人参加夏令营,规定男、女同学至少各有1人参加,则选法总数应为( )

A. B. C. D.

查看答案和解析>>

同步练习册答案