精英家教网 > 高中数学 > 题目详情
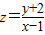
设实数x,y满足约束条件,则的取值范围是( )
A.(-∞,-2)∪(1,+∞)
B.(-∞,-2]∪[1,+∞)
C.(-2,1)
D.[-2,1]
【答案】分析:先画出满足约束条件的平面区域,然后分析的几何意义,进而给出的取值范围.
解答:解:满足约束条件,的平面区域,

表示区域内点Q与P(1,-2)点连线的斜率,
又∵当x=3,y=0时,z=1,当x=0,y=0时,z=-2
的取值范围为(-∞,-2]∪[1,+∞)
故选B.
点评:平面区域的最值问题是线性规划问题中一类重要题型,在解题时,关键是正确地画出平面区域,分析表达式的几何意义,然后结合数形结合的思想,分析图形,找出满足条件的点的坐标,即可求出答案.
练习册系列答案
相关习题

科目:高中数学 来源: 题型:

设实数x,y满足约束条件 
2x-y+2≥0
8x-y-4≤0
x≥0,y≥0
,若目标函数z=abx+y(a>0,b>0)的最大值为8,则
1
a2
+
1
b2
的最小值是
 

查看答案和解析>>

科目:高中数学 来源: 题型:

设实数x,y满足约束条件
x-y-2≤0
x+3y-6≥0
y≤2
,则z=
y
x
的最小值为
1
3
1
3

查看答案和解析>>

科目:高中数学 来源: 题型:

(2009•成都模拟)设实数x、y满足约束条件,
y≤x
x+y≤
y≥-1
1
,则z=3x+y的最大值是
5
5

查看答案和解析>>

科目:高中数学 来源: 题型:

(2013•滨州一模)设实数x,y满足约束条件
x-y+2≥0
x+y-4≥0
2x-y-5≤0
,则目标函数z=x+2y的最大值为
25
25

查看答案和解析>>

科目:高中数学 来源: 题型:

设实数x、y满足约束条件:
x≥0
x≤y
x+2y≤3
则z=2x-y的最大值是
1
1

查看答案和解析>>

同步练习册答案