精英家教网 > 高中数学 > 题目详情

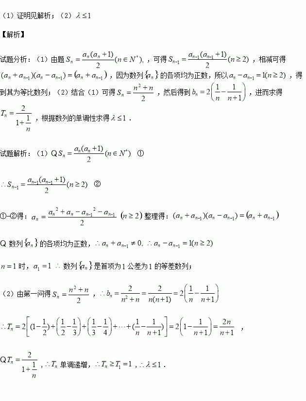
已知数列的各项均为正数,前项和为,且

(1)求证数列是等差数列;

(2)设对于任意恒成立,求实数的取值范围.

练习册系列答案
相关习题

科目:高中数学 来源:2016届福建省高三最后一卷理科数学试卷(解析版) 题型:选择题

中,“”是“”的( )

A.充分不必要条件 B.必要不充分条件

C.充要条件 D.既不充分也不必要条件

查看答案和解析>>

科目:高中数学 来源:2015-2016学年河北省高二下期中理科数学试卷(解析版) 题型:选择题

甲、乙等4名实习生到某医院的内科、外科、口腔科3个科室进行实习,每个科室至少分配1名,且甲不能去口腔科,则不同的分配方案种数为( )

A.54 B.36 C.24 D.18

查看答案和解析>>

科目:高中数学 来源:2015-2016学年山西大学附属中学高一下期中数学试卷(解析版) 题型:选择题

则下列结论正确的是( )

A. B. C. D.

查看答案和解析>>

科目:高中数学 来源:2015-2016学年山西大学附属中学高一下期中数学试卷(解析版) 题型:选择题

中,已知边上一点,若,则等于( )

A. B. C. D.

查看答案和解析>>

科目:高中数学 来源:2015-2016学年河北省高一3月月考数学试卷(解析版) 题型:解答题

中,角所对的边分别为,且满足.

(1)求值.

(2)若成等差数列,且公差大于0,求的值.

查看答案和解析>>

科目:高中数学 来源:2015-2016学年河北省高一3月月考数学试卷(解析版) 题型:选择题

已知数列是等比数列,,则()

A. B. C. D.

查看答案和解析>>

科目:高中数学 来源:2015-2016学年安徽省高二下周末检测三文数学卷(解析版) 题型:解答题

已知,用表示为.

查看答案和解析>>

科目:高中数学 来源:2015-2016学年福建上杭一中高一下期末模拟二数学试卷(解析版) 题型:解答题

在等腰直角中,是斜边上的点,满足

(1)试用向量来表示向量

(2)若点满足,求的取值范围.

查看答案和解析>>

同步练习册答案