精英家教网 > 高中数学 > 题目详情

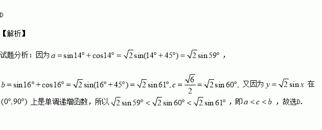
则下列结论正确的是( )

A. B. C. D.

练习册系列答案
相关习题

科目:高中数学 来源:2016届福建省高三最后一卷理科数学试卷(解析版) 题型:解答题

已知为单调递增的等差数列,,设数列满足

(I)求数列的通项;

(II)求数列的前项和

查看答案和解析>>

科目:高中数学 来源:2015-2016学年河北省高二下期中理科数学试卷(解析版) 题型:解答题

一口袋中有5只球,标号分别为1,2,3,4,5.

(I)如果从袋中同时取出3只,以表示取出的三只球的最小号码,求的分布列;

(II)如果从袋中取出1只,记录号码后放回袋中,再取1只,记录号码后放回袋中,这样重复三次,以表示三次中取出的球的最小号码,求的分布列.

查看答案和解析>>

科目:高中数学 来源:2015-2016学年河北省高二下期中理科数学试卷(解析版) 题型:选择题

化简所得结果为( )

A. B. C. D.

查看答案和解析>>

科目:高中数学 来源:2015-2016学年山西大学附属中学高一下期中数学试卷(解析版) 题型:解答题

已知

(1)求实数的值;

(2)若,求实数的值.

查看答案和解析>>

科目:高中数学 来源:2015-2016学年山西大学附属中学高一下期中数学试卷(解析版) 题型:选择题

给出下列命题:

(1)若,则; (2)向量不可以比较大小;

(3)若; (4)

其中真命题的个数为( )

A.1 B.2 C.3 D.4

查看答案和解析>>

科目:高中数学 来源:2015-2016学年河北省高一3月月考数学试卷(解析版) 题型:解答题

已知数列的各项均为正数,前项和为,且

(1)求证数列是等差数列;

(2)设对于任意恒成立,求实数的取值范围.

查看答案和解析>>

科目:高中数学 来源:2015-2016学年河北省高一3月月考数学试卷(解析版) 题型:选择题

在正项等比数列成等差数列,则等于( )

A.3或﹣1 B.9或1 C.1 D.9

查看答案和解析>>

科目:高中数学 来源:2015-2016学年重庆八中高二下阶段性检测五文科数学试卷(解析版) 题型:选择题

上的偶函数,且,则( )

A.0 B.1 C.2017 D.无法确定

查看答案和解析>>

同步练习册答案