精英家教网 > 高中数学 > 题目详情

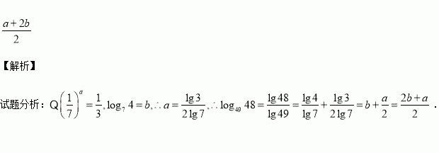
已知,用表示为.

练习册系列答案
相关习题

科目:高中数学 来源:2015-2016学年河北省高二下期中理科数学试卷(解析版) 题型:解答题

一口袋中有5只球,标号分别为1,2,3,4,5.

(I)如果从袋中同时取出3只,以表示取出的三只球的最小号码,求的分布列;

(II)如果从袋中取出1只,记录号码后放回袋中,再取1只,记录号码后放回袋中,这样重复三次,以表示三次中取出的球的最小号码,求的分布列.

查看答案和解析>>

科目:高中数学 来源:2015-2016学年河北省高一3月月考数学试卷(解析版) 题型:解答题

已知数列的各项均为正数,前项和为,且

(1)求证数列是等差数列;

(2)设对于任意恒成立,求实数的取值范围.

查看答案和解析>>

科目:高中数学 来源:2015-2016学年河北省高一3月月考数学试卷(解析版) 题型:选择题

在正项等比数列成等差数列,则等于( )

A.3或﹣1 B.9或1 C.1 D.9

查看答案和解析>>

科目:高中数学 来源:2015-2016学年安徽省高二下周末检测三文数学卷(解析版) 题型:解答题

已知为定义在上的奇函数,当时,为二次函数,且满足上的两个零点分别为1和3.

(1)求函数上的解析式;

(2)作出的图像,并根据图像讨论关于的方程根的个数.

查看答案和解析>>

科目:高中数学 来源:2015-2016学年安徽省高二下周末检测三文数学卷(解析版) 题型:选择题

定义在上的函数满足,则的值为( )

A.-1 B.0 C.1 D.

查看答案和解析>>

科目:高中数学 来源:2015-2016学年安徽省高二下周末检测三文数学卷(解析版) 题型:选择题

若函数是奇函数,则的值为( )

A.0 B.-1 C.1 D.2

查看答案和解析>>

科目:高中数学 来源:2015-2016学年重庆八中高二下阶段性检测五文科数学试卷(解析版) 题型:选择题

上的偶函数,且,则( )

A.0 B.1 C.2017 D.无法确定

查看答案和解析>>

科目:高中数学 来源:2016届辽宁省高三四模文科数学试卷(解析版) 题型:填空题

,不等式恒成立,则实数的取值范围为________.

查看答案和解析>>

同步练习册答案