精英家教网 > 高中数学 > 题目详情
各项均为正数的数列{an}的前n项和Sn,函数f(x)=px2-(p+q)x+qlnx(其中p,q均为常数,且p>q>0),当x=a1时,函数f(x)取得极小值,点(an,2Sn)(n∈N*)均在函数的图象上(其中f′(x)是函数f(x)的导函数),
(Ⅰ)求a1的值;
(Ⅱ)求数列{an}的通项公式;
(Ⅲ)记bn=·qn,求数列{bn}的前n项和Tn
解:(Ⅰ)函数f(x)的定义域为(0,+∞),
f′(x)=px-(p+q)+
令f′(x)=0,得x=1或
∵p>q>0,
,当x变化时,f′(x),f(x)的变化情况如下表:

所以f(x)在x=1处取得极小值,即a1=1;
(Ⅱ)依题意,f′(x)+q=2px2+px-p,

所以
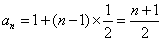
由a1=1,得p=1,

当n≥2时,
①-②,得


由于,∴
所以{an}是以a1=1,公差为的等差数列,

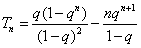
(Ⅲ)

所以
由已知p>q>0,而由(Ⅱ)知p=1,
∴q≠1,
,④
由③-④,得

练习册系列答案
相关习题

科目:高中数学 来源: 题型:

设单调递增函数f(x)的定义域为(0,+∞),且对任意的正实数x,y有f(xy)=f(x)+f(y),且f(
1
2
)=-1

(1)一个各项均为正数的数列{an}满足:f(sn)=f(an)+f(an+1)-1其中Sn为数列{an}的前n项和,求数列{an}的通项公式;
(2)在(1)的条件下,是否存在正数M使下列不等式:2n•a1a2…an≥M
2n+1
(2a1-1)(2a2-1)…(2an-1)
对一切n∈N*成立?若存在,求出M的取值范围;若不存在,请说明理由.

查看答案和解析>>

科目:高中数学 来源: 题型:

各项均为正数的数列{an}中,a1=1,Sn是数列{an}的前n项和,对任意n∈N,有2Sn=2p
a
2
n
+pan-p(p∈R).
(1)求常数p的值;
(2)求数列{an}的前n项和Sn

查看答案和解析>>

科目:高中数学 来源: 题型:

已知各项均为正数的数列{an}的前n项和为Sn,且Sn,an
1
2
成等差数列,
(1)求a1,a2的值;
(2)求数列{an}的通项公式;
(3)若bn=4-2n(n∈N*),设cn=
bn
an
,求数列{cn}的前n项和Tn

查看答案和解析>>

科目:高中数学 来源: 题型:

各项均为正数的数列{an}的前n项和为Sn,且点(an,Sn)在函数y=
1
2
x2+
1
2
x-3
的图象上,
(1)求数列{an}的通项公式;
(2)记bn=nan(n∈N*),求证:
1
b1
+
1
b2
+…+
1
bn
3
4

查看答案和解析>>

科目:高中数学 来源: 题型:

(2008•长宁区二模)已知各项均为正数的数列{an}的前n项和sn满足s1>1,且6sn=(an+1)(an+2)(n为正整数).
(1)求{an}的通项公式;
(2)设数列{bn}满足bn=
an,n为偶数
2an,n为奇数
,求Tn=b1+b2+…+bn
(3)设Cn=
bn+1
bn
,(n为正整数)
,问是否存在正整数N,使得n>N时恒有Cn>2008成立?若存在,请求出所有N的范围;若不存在,请说明理由.

查看答案和解析>>

同步练习册答案