精英家教网 > 高中数学 > 题目详情
若直线y=x+b与曲线有公共点,则b的取值范围是( )
A.[]
B.[,3]
C.[-1,]
D.[,3]
【答案】分析:本题要借助图形来求参数b的取值范围,曲线方程可化简为(x-2)2+(y-3)2=4(1≤y≤3),即表示圆心为(2,3)半径为2的半圆,画出图形即可得出参数b的范围.
解答:解:曲线方程可化简为(x-2)2+(y-3)2=4(1≤y≤3),
即表示圆心为(2,3)半径为2的半圆,如图
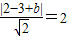
依据数形结合,当直线y=x+b与此半圆相切时须满足圆心(2,3)到直线y=x+b距离等于2,即解得
因为是下半圆故可知(舍),故
当直线过(0,3)时,解得b=3,

故选D.
点评:考查方程转化为标准形式的能力,及借助图形解决问题的能力.本题是线与圆的位置关系中求参数的一类常见题型.
练习册系列答案
相关习题

科目:高中数学 来源: 题型:

已知a为常数,若曲线段y=ax2+3x(x∈(0,4))存在与直线x+y-1=0垂直的切线,则实数a的取值范围是(  )

查看答案和解析>>

科目:高中数学 来源:天骄之路中学系列 读想用 高二数学(上) 题型:044

如图所示,直线l1l2相交于点M,且l1l2,点Nl1.以AB为端点的曲线段C上的任意一点到l2的距离与到点N的距离相等.若△AMN为锐角三角形,|AM|=,|AN|=3,且|BN|=6,分别以l1l2为x轴和y轴,建立如图坐标系,求曲线C的方程.

查看答案和解析>>

科目:高中数学 来源: 题型:

已知焦点在x轴上的双曲线C的两条渐近线过坐标原点,且两条渐近线与以点A (0,)为圆心,1为半径的圆相切,又知C的一个焦点与A关于y = x对称.

    (1)求双曲线C的方程;

    (2)若Q是双曲线线C上的任一点,F1F2为双曲线C的左、右两个焦点,从F1引∠F1QF2的平分线的垂线,垂足为N,试求点N的轨迹方程;

    (3)设直线y = mx + 1与双曲线C的左支交于AB两点,另一直线l经过M (–2,0)及AB的中点,求直线ly轴上的截距b的取值范围.

查看答案和解析>>

科目:高中数学 来源:不详 题型:单选题

已知a为常数,若曲线段y=ax2+3x(x∈(0,4))存在与直线x+y-1=0垂直的切线,则实数a的取值范围是(  )
A.[-
1
2
,+∞]
B.(-∞,-
1
2
C.[-
1
4
,+∞]
D.(-∞,-
1
4

查看答案和解析>>

科目:高中数学 来源:2011-2012学年福建省莆田二中高二(上)期末数学试卷(文科)(解析版) 题型:选择题

已知a为常数,若曲线段y=ax2+3x(x∈(0,4))存在与直线x+y-1=0垂直的切线,则实数a的取值范围是( )
A.[-,+∞]
B.(-∞,-
C.[-,+∞]
D.(-∞,-

查看答案和解析>>

同步练习册答案