精英家教网 > 高中数学 > 题目详情

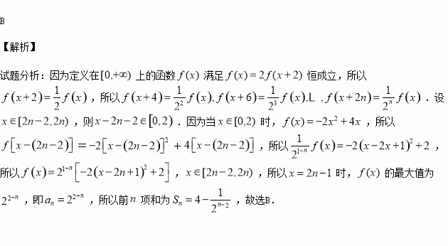
已知定义在上的函数满足,当时,,设上的最大值为,且的前项和为,则=( ).

A. B. C. D.

练习册系列答案
相关习题

科目:高中数学 来源:2014-2015年河北保定一中高二下第一次段考理数学试卷(解析版) 题型:选择题

设函数,则 ( )

A.的极大值点 B.的极小值点

C.的极大值点 D.的极小值点

查看答案和解析>>

科目:高中数学 来源:2015-2016学年河北省高一上学期期中数学试卷(解析版) 题型:选择题

已知集合,则

A.

B.

C.

D.

查看答案和解析>>

科目:高中数学 来源:2016届浙江省高三期中理科数学试卷(解析版) 题型:解答题

(本题满分15分)已知函数

(Ⅰ)若当时,不等式恒成立,求实数的取值范围;

(Ⅱ)求函数在区间上的最大值.

查看答案和解析>>

科目:高中数学 来源:2016届江西省高三上学期期中文科数学试卷(解析版) 题型:选择题

下列命题中,正确的是 ( ).

A.存在,使得

B.“”是“”的充要条件

C.若,则

D.若函数有极值,则

【答案】C

【解析】

试题分析:A中,令,则,所以为增函数,所以,即,所以不存在,使得,不正确;B中当时,不成立,不正确;D中,,则有,解得,而当时,,此时函数无极值,故D不正确; C正确,故选C.

考点:1、命题真假的判定;2、充分条件与必要条件的判定;3、函数的极值.

【易错点睛】判断选项A中命题时会直观误认为函数与函数有交点,进而认为是正确的;判断选项B时,由“”推导“”时会忽视的符号;判断D中命题时,会忽视所求得的值进行极值验证.

【题型】选择题
【适用】较难
【标题】【百强校】2016届江西省临川一中高三上学期期中文科数学试卷(带解析)
【关键字标签】
【结束】
 

是定义在上的偶函数,对,都有,且当时, .若在区间内关于的方程恰有3个不同实根,则的取值范围是( )

A. B. C. D.

查看答案和解析>>

科目:高中数学 来源:2016届江苏省高三周练数学试卷(解析版) 题型:填空题

已知函数,若关于的函数个不同的零点,则实数的取值范围是

查看答案和解析>>

科目:高中数学 来源:2016届吉林省高三上学期二模文科数学试卷(解析版) 题型:选择题

下列区间中,函数在其上为增函数的是( )

A.(- B. C. D.

查看答案和解析>>

科目:高中数学 来源:2016届甘肃省高三上学期期中文科数学试卷(解析版) 题型:选择题

已知角α的终边过点P(-8m,-6sin 30°),且cos α=-,则m的值为( )

A. B.- C.- D.

查看答案和解析>>

科目:高中数学 来源:2015-2016学年广东省高一上学期期中数学试卷(解析版) 题型:解答题

(本小题满分12分)设二次函数的图象过点(0,1)和(1,4),且对于任意的实数,不等式恒成立.

(Ⅰ)求函数的表达式;

(Ⅱ)设,若在区间[1,2]上是增函数,求实数的取值范围.

查看答案和解析>>

同步练习册答案