精英家教网 > 高中数学 > 题目详情
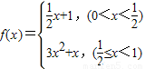
已知函数满足
(1)求常数c的值;(2)解不等式f(x)<2.
【答案】分析:(1)本题关键是由分段函数定义域特点得到c2<c得到0<c<1,从而f(c2)=c3+1,求出c
(2)由第一题c的值确定f(x),对x分类得到不同不等式解出x即可
解答:解:(1)因为0<c<1,
所以c2<c;


(2)由(1)得
由f(x)<2得,当时,
解得
时,3x2+x-2<0,
解得
所以f(x)<2的解集为
点评:本题考查分段函数有关知识,注意分段函数求值或解不等式要分类,最后解集要并起来
练习册系列答案
相关习题

科目:高中数学 来源: 题型:

(07年江西卷文)(12分)

已知函数满足

(1)求常数的值;

(2)解不等式

查看答案和解析>>

科目:高中数学 来源: 题型:

已知函数满足

(1)求常数k的值;(2)若恒成立,求a的取值范围.

查看答案和解析>>

科目:高中数学 来源:2014届山东省临沂市高三9月月考理科数学试卷(解析版) 题型:解答题

已知函数 满足

(1)求常数的值 ;

(2)解不等式

 

查看答案和解析>>

科目:高中数学 来源:2015届河南省高一上期中考试数学试卷(解析版) 题型:解答题

(本题满分12分)

  已知函数满足

 (1)求常数的值;  

(2)求使成立的x的取值范围.

 

查看答案和解析>>

科目:高中数学 来源:2010-2011学年山东省高三上学期第一次诊断性测试理科数学卷 题型:解答题

已知函数    满足

  (1)求常数c的值;

  (2)解不等式<2.

 

查看答案和解析>>

同步练习册答案