精英家教网 > 高中数学 > 题目详情

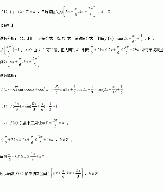
已知函数

(1)求

(2)求函数的最小正周期与单调减区间.

练习册系列答案
相关习题

科目:高中数学 来源:2016-2017学年河北武邑中学高二文11月月考数学试卷(解析版) 题型:选择题

如图所示,在中,的中点,平分,若,则的长为( )

A.2 B.2.5

C.3 D.3.5

查看答案和解析>>

科目:高中数学 来源:2017届四川双流中学高三文必得分训练4数学试卷(解析版) 题型:选择题

已知向量,若向量的夹角为,则实数的值为( )

A. B.

C. D.

查看答案和解析>>

科目:高中数学 来源:2017届四川双流中学高三文必得分训练1数学试卷(解析版) 题型:选择题

函数的图象恒过定点,若点的横坐标为,函数的图象恒过定点,则点的坐标为( )

A. B. C. D.

查看答案和解析>>

科目:高中数学 来源:2017届山西运城市高三文上学期期中数学试卷(解析版) 题型:解答题

已知函数).

(1)若,求函数的极值;

(2)当时,判断函数在区间上零点的个数.

查看答案和解析>>

科目:高中数学 来源:2017届山西运城市高三文上学期期中数学试卷(解析版) 题型:选择题

已知函数)与的图象上存在关于轴对称的点,则的取值范围是( )

A. B. C. D.

查看答案和解析>>

科目:高中数学 来源:2017届山西运城市高三文上学期期中数学试卷(解析版) 题型:选择题

函数满足值为( )

A.1 B. C. D.1或

查看答案和解析>>

科目:高中数学 来源:2017届山西运城市高三理上学期期中数学试卷(解析版) 题型:选择题

已知函数是函数的导函数,则的图象大致是( )

查看答案和解析>>

科目:高中数学 来源:2017届湖南师大附中高三理上学期月考四数学试卷(解析版) 题型:填空题

满足的取值范围是

查看答案和解析>>

同步练习册答案