精英家教网 > 高中数学 > 题目详情

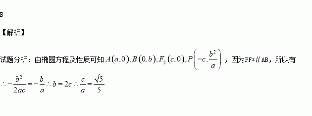
已知椭圆C的中心在原点,左焦点F1,右焦点F2均在x轴上,A为椭圆的右顶点,B为椭圆短轴的端点,P是椭圆上一点,且PF1⊥x轴,PF2∥AB,则此椭圆的离心率等于( )

A. B. C. D.

练习册系列答案
相关习题

科目:高中数学 来源:2015-2016学年广东省高一上学期期中数学试卷(解析版) 题型:解答题

(本小题满分10分)已知全集U = R,

(Ⅰ)求

(Ⅱ)求

查看答案和解析>>

科目:高中数学 来源:2015-2016学年湖北省黄石市高一10月月考数学试卷(解析版) 题型:解答题

(本小题满分12分)

已知函数f(x)=

(1)在给定的直角坐标系内画出f(x)的图象

(2)写出f(x)的单调递增区间与减区间.

查看答案和解析>>

科目:高中数学 来源:2015-2016学年河北省唐山市高一10月月考数学试卷(解析版) 题型:填空题

集合,集合,若,则实数 _________

查看答案和解析>>

科目:高中数学 来源:2015-2016学年广东省英德市高一上学期第一次月考数学试卷(解析版) 题型:选择题

已知集合P={y∣y= -x2+2,x∈R},,那么P∩Q=( )

A.{} B.{2}

C.{} D.{}

查看答案和解析>>

科目:高中数学 来源:2015-2016学年广东省高一上第一次月考数学试卷(解析版) 题型:选择题

已知f(x)=3-2|x|,g(x)=x2-2x,F(x)=则F(x)的最值是( )

A.最大值为3,最小值-1

B.最大值为7-2,无最小值

C.最大值为3,无最小值

D.既无最大值,又无最小值

查看答案和解析>>

科目:高中数学 来源:2015-2016学年广东省高一上学期期中考试数学试卷(解析版) 题型:选择题

已知f(x)=,则f [f(-2)]=( ).

A.-1 B.0 C.2 D.

查看答案和解析>>

科目:高中数学 来源:2015-2016学年安徽省高一上学期第一次月考数学试卷(解析版) 题型:选择题

函数的图象必经过点( ).

A. B. C. D.

查看答案和解析>>

科目:高中数学 来源:2016届福建省高三第一次月考文科数学试卷(解析版) 题型:填空题

如图所示,在平面直角坐标系xOy中,角的终边与单位圆交于点A,点A的纵坐标为,则________.

查看答案和解析>>

同步练习册答案