精英家教网 > 高中数学 > 题目详情

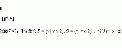
已知集合P={y∣y= -x2+2,x∈R},,那么P∩Q=( )

A.{} B.{2}

C.{} D.{}

练习册系列答案
相关习题

科目:高中数学 来源:2015-2016学年广东省深圳市高一上学期期中数学试卷(解析版) 题型:填空题

已知函数

查看答案和解析>>

科目:高中数学 来源:2015-2016学年江苏省泰州市姜堰区高二上学期期中考试理科数学试卷(解析版) 题型:解答题

(本题满分16分)

设椭圆E的方程为,点O为坐标原点,点A的坐标为,点B的坐标为,点M在线段AB上,满足,直线OM的斜率为.

(I)求E的离心率e;

(II)设点C的坐标为,N为线段AC的中点,点N关于直线AB的对称点的纵坐标为,求E的方程.

查看答案和解析>>

科目:高中数学 来源:2015-2016学年河北省高二10月月考文科数学试卷(解析版) 题型:填空题

如图所示程序执行后输出的结果是___________

查看答案和解析>>

科目:高中数学 来源:2015-2016学年河北省唐山市高一10月月考数学试卷(解析版) 题型:选择题

函数的单调递减区间是( )

A、 B、

C、 D、

查看答案和解析>>

科目:高中数学 来源:2015-2016学年广东省普宁市高二上期中考试理科数学试卷(解析版) 题型:选择题

已知椭圆C的中心在原点,左焦点F1,右焦点F2均在x轴上,A为椭圆的右顶点,B为椭圆短轴的端点,P是椭圆上一点,且PF1⊥x轴,PF2∥AB,则此椭圆的离心率等于( )

A. B. C. D.

查看答案和解析>>

科目:高中数学 来源:2015-2016学年广东省高一上第一次月考数学试卷(解析版) 题型:选择题

已知f(x)=,则f(-1)+f(4)的值为( )

A.-7 B.3 C.-8 D.4

查看答案和解析>>

科目:高中数学 来源:2015-2016学年广东省高二上学期期中考试理科数学试卷(解析版) 题型:选择题

为圆心的圆与直线相切于点,则圆的方程是( )

A. B.

C. D.

查看答案和解析>>

科目:高中数学 来源:2016届黑龙江哈尔滨六中高三上期中理科数学试卷(解析版) 题型:填空题

查看答案和解析>>

同步练习册答案