精英家教网 > 高中数学 > 题目详情

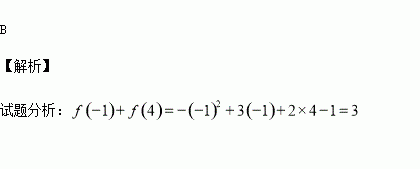
已知f(x)=,则f(-1)+f(4)的值为( )

A.-7 B.3 C.-8 D.4

练习册系列答案
相关习题

科目:高中数学 来源:2015-2016学年广东东华高中高一上学期前段段考数学试卷(解析版) 题型:填空题

函数的定义域是

查看答案和解析>>

科目:高中数学 来源:2015-2016学年河北省高一10月月考数学试卷(解析版) 题型:选择题

已知函数f(x)=4x2-mx+5在区间[-2,+∞)上是增函数,则f(1)的取值范围是( )

A.f(1)≥25 B.f(1)=25

C.f(1)≤25 D.f(1)>25

查看答案和解析>>

科目:高中数学 来源:2015-2016学年广东省英德市高一上学期第一次月考数学试卷(解析版) 题型:选择题

已知集合P={y∣y= -x2+2,x∈R},,那么P∩Q=( )

A.{} B.{2}

C.{} D.{}

查看答案和解析>>

科目:高中数学 来源:2015-2016学年广东省普宁市高二上期中考试理科数学试卷(解析版) 题型:选择题

已知三棱柱的侧棱与底面边长都相等,在底面内的射影为的中心,则与底面所成角的正弦值等于( )

A. B. C. D.

查看答案和解析>>

科目:高中数学 来源:2015-2016学年广东省高一上学期期中考试数学试卷(解析版) 题型:选择题

已知f(x)=,则f [f(-2)]=( ).

A.-1 B.0 C.2 D.

查看答案和解析>>

科目:高中数学 来源:2015-2016学年广东省高二上学期期中考试文科数学试卷(解析版) 题型:选择题

某工厂生产三种不同型号的产品,产品的数量之比为,现用分层抽样的的方法抽出样本容量为的样本,样本中A型产品有16件,那么( )

A.100 B.80 C.60 D.20

查看答案和解析>>

科目:高中数学 来源:2015-2016学年安徽省阜阳市高二上第一次调研考理科数学试卷(解析版) 题型:解答题

(本小题满分12分)

已知 , , 若的必要不充分条件,求实数的取值范围.

查看答案和解析>>

科目:高中数学 来源:2016届福建省高三第一次月考理科数学试卷(解析版) 题型:选择题

函数的一个零点落在下列哪个区间 ( )

A. B. C. D.

查看答案和解析>>

同步练习册答案