精英家教网 > 高中数学 > 题目详情

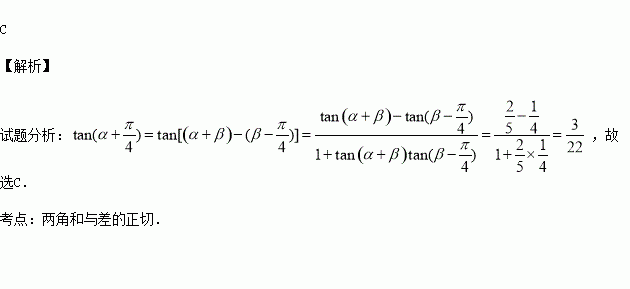
已知等于( )

A. B. C. D.

练习册系列答案
相关习题

科目:高中数学 来源:2015-2016学年内蒙古包头市高一上期中数学试卷(解析版) 题型:选择题

,则a,b,c的大小关系是( )

A.a>b>c B.a>c>b C.c>a>b D.c>b>a

查看答案和解析>>

科目:高中数学 来源:2015-2016学年浙江省温州市十校联合体高二上学期期中考试数学试卷(解析版) 题型:填空题

在棱长为的正方体中,点分别是矩形的中心,则过点的平面截正方体的截面面积为

查看答案和解析>>

科目:高中数学 来源:2015-2016学年湖南省、攸县一中高二上期中文科数学试卷(解析版) 题型:填空题

设x,y满足约束条件则z=x+4y的最大值为________.

查看答案和解析>>

科目:高中数学 来源:2015-2016学年浙江省嘉兴市高二上12月月考数学卷(解析版) 题型:选择题

已知表示两条不同直线,表示平面,下列说法正确的是( )

A.若

B.若,则

C.若,则

D.若,则[

查看答案和解析>>

科目:高中数学 来源:2016届山东师大附中高三上学期第三次模拟理科数学试卷(解析版) 题型:选择题

设平面向量均为非零向量,则“”是“”的( )

A.充分非必要条件

B.必要非充分条件

C.充要条件

D.即不充分又不必要条件

查看答案和解析>>

科目:高中数学 来源:2016届河北省邯郸市高三一轮收官考试二理科数学试卷(解析版) 题型:解答题

已知椭圆的左右焦点,其离心率为,点为椭圆上的一个动点,内切圆面积的最大值为

(1)求的值;

(2)若是椭圆上不重合的四个点,且满足,求的取值范围.

查看答案和解析>>

科目:高中数学 来源:2016届重庆市高三12月月考理科数学试卷(解析版) 题型:选择题

抛物线的焦点到准线的距离为( )

A. B. C.2 D.4

查看答案和解析>>

科目:高中数学 来源:2015-2016学年河南省高二上期中文科数学试卷(解析版) 题型:选择题

“若,则全为0”的否命题是

A.若,则全不为0

B.若,则不全为0

C.若全为0,则

D.若,则

查看答案和解析>>

同步练习册答案