精英家教网 > 高中数学 > 题目详情

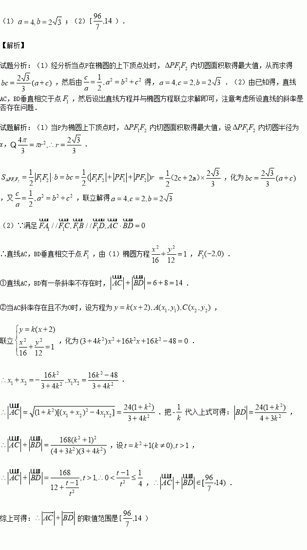
已知椭圆的左右焦点,其离心率为,点为椭圆上的一个动点,内切圆面积的最大值为

(1)求的值;

(2)若是椭圆上不重合的四个点,且满足,求的取值范围.

练习册系列答案
相关习题

科目:高中数学 来源:2016届浙江省高三上学期期中理科数学试卷(解析版) 题型:解答题

已知椭圆经过点,对称轴为坐标轴,焦点轴上,离心率

(1)求椭圆的方程;

(2)求的角平分线所在直线的方程;

(3)在椭圆上是否存在关于直线对称的相异两点?若存在,请找出;若存在,说明理由.

查看答案和解析>>

科目:高中数学 来源:2015-2016年湖南省高一上学期期中考试数学试卷(解析版) 题型:选择题

给出定义:若 (其中为整数),则叫做离实数最近的整数,记作,即.在此基础上给出下列关于函数的四个命题:

①函数的定义域是,值域是

②函数的图像关于轴对称;

③函数的图像关于坐标原点对称;

④函数上是增函数;

则其中正确命题的个数是( ).

A.1 B.2 C. 3 D.4

查看答案和解析>>

科目:高中数学 来源:2016届山东师大附中高三上学期第三次模拟文科数学试卷(解析版) 题型:选择题

已知等于( )

A. B. C. D.

查看答案和解析>>

科目:高中数学 来源:2015-2016学年辽宁省分校高一12月月考数学卷(解析版) 题型:解答题

如图,在正方体中,上不同于的任一点, ,求证:

(1)平面;(2)

查看答案和解析>>

科目:高中数学 来源:2016届河北省邯郸市高三一轮收官考试二理科数学试卷(解析版) 题型:选择题

已知全集,集合,则下图阴影部分表示的集合是( )

A.[-1,1) B.(-3,1] C. D.(-3,-1)

查看答案和解析>>

科目:高中数学 来源:2016届重庆市高三12月月考理科数学试卷(解析版) 题型:解答题

已知函数

(1)解不等式

(2)已知,若恒成立,求实数的取值范围.

查看答案和解析>>

科目:高中数学 来源:2015-2016学年广西钦州港经济技术开发区中学高二上期中文科数学卷(解析版) 题型:选择题

给出下列关于互不相同的直线l、m、n和平面α、β、γ的三个命题:

①若l与m为异面直线,l?α,m?β,则α∥β;

②若α∥β,l?α,m?β,则l∥m;

③若α∩β=l,β∩γ=m,γ∩α=n,l∥γ,则m∥n.

其中真命题的个数为( )

A.3 B.2 C.1 D.0

查看答案和解析>>

科目:高中数学 来源:2015-2016学年河北邢台一中高二上第三次月考理科数学卷(解析版) 题型:填空题

是椭圆的两个焦点,点在椭圆上,且满足,则的面积等于____________.

查看答案和解析>>

同步练习册答案