精英家教网 > 高中数学 > 题目详情

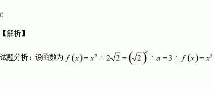
已知幂函数过点,则函数的表达式为( )

A. B. C. D.

练习册系列答案
相关习题

科目:高中数学 来源:2015-2016学年福建上杭一中高二下培优补差理科数学试卷(解析版) 题型:选择题

已知是互不相等的非零实数,若用反证法证明三个方程至少有一个方程有两个相异实根,反证假设应为:( )

A.三个方程中至多有一个方程有两个相异实根

B.三个方程都有两个相异实根

C.三个方程都没有两个相异实根

D.三个方程都没有实根

查看答案和解析>>

科目:高中数学 来源:2015-2016学年新疆兵团农二师华山中学高二下学前考试理科数学试卷(解析版) 题型:选择题

若点P是曲线上任意一点,则点P到直线的最小值为( ).

A. B. C. D.

查看答案和解析>>

科目:高中数学 来源:2015-2016学年山东省淄博市高二4月月考文科数学试卷(解析版) 题型:填空题

,且时,函数必过定点 .

查看答案和解析>>

科目:高中数学 来源:2015-2016学年山东省淄博市高二4月月考文科数学试卷(解析版) 题型:选择题

已知其中为常数,若,则=( )

A.2 B.-6 C.-10 D.-4

查看答案和解析>>

科目:高中数学 来源:2015-2016学年福建省晋江市高二上学期期末文科数学试卷(解析版) 题型:解答题

已知首项为的等比数列是递减数列,且成等差数列;数列{}的前n项和为,且

(Ⅰ)求数列,{}的通项公式;

(Ⅱ)已知,求数列{}的前n项和

查看答案和解析>>

科目:高中数学 来源:2015-2016学年福建省晋江市高二上学期期末文科数学试卷(解析版) 题型:选择题

若椭圆)的焦点为,点在椭圆上,且满足为坐标原点),则称点为“”点,则此椭圆上的“”点有( )

A.个 B.个 C.个 D.

查看答案和解析>>

科目:高中数学 来源:2015-2016学年福建省晋江市高二上学期期末理科数学试卷(解析版) 题型:解答题

斜率为的直线经过抛物线的焦点,且与抛物线相交于两点,求线段的长.

查看答案和解析>>

科目:高中数学 来源:2016年全国普通高等学校招生统一考试理科数学(北京卷参考版) 题型:解答题

设函数,曲线在点处的切线方程为

(1)求的值;

(2)求的单调区间.

查看答案和解析>>

同步练习册答案