精英家教网 > 高中数学 > 题目详情

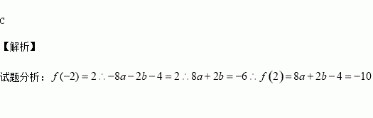
已知其中为常数,若,则=( )

A.2 B.-6 C.-10 D.-4

练习册系列答案
相关习题

科目:高中数学 来源:2015-2016学年福建上杭一中高二下培优补差理科数学试卷(解析版) 题型:选择题

设函数在区间上的导函数为在区间上的导函数为,若在区间,则称函数在区间上为“凹函数”,已知在区间上为“凹函数”,则实数的取值范围为( )

A. B. C. D.

查看答案和解析>>

科目:高中数学 来源:2015-2016学年新疆兵团农二师华山中学高二下学前考试理科数学试卷(解析版) 题型:填空题

命题“存在一个无理数,它的平方是有理数”的否定是____________________________.

查看答案和解析>>

科目:高中数学 来源:2015-2016学年山东省淄博市高二4月月考文科数学试卷(解析版) 题型:解答题

已知集合

(Ⅰ) 若

(Ⅱ) 若A∪B=B,求的取值范围。

查看答案和解析>>

科目:高中数学 来源:2015-2016学年山东省淄博市高二4月月考文科数学试卷(解析版) 题型:选择题

给出下列函数①;②;③;④;⑤.其中满足条件f > 的函数的个数是( )

A.1个 B.2个 C.3个 D.4个

查看答案和解析>>

科目:高中数学 来源:2015-2016学年山东省淄博市高二4月月考文科数学试卷(解析版) 题型:选择题

已知幂函数过点,则函数的表达式为( )

A. B. C. D.

查看答案和解析>>

科目:高中数学 来源:2015-2016学年福建省晋江市高二上学期期末文科数学试卷(解析版) 题型:解答题

求下列各曲线的标准方程

(1) 焦点是椭圆的左顶点的抛物线;

(2)与双曲线共渐进线且过点的双曲线.

查看答案和解析>>

科目:高中数学 来源:2015-2016学年福建省晋江市高二上学期期末理科数学试卷(解析版) 题型:解答题

设函数,其中

(Ⅰ)当时,求曲线在原点处的切线方程;

(Ⅱ)试讨论函数极值点的个数;

查看答案和解析>>

科目:高中数学 来源:2015-2016学年辽宁省庄河市高一上学期期末考试数学试卷(解析版) 题型:选择题

,则的大小关系为( )

A. B.

C. D.

查看答案和解析>>

同步练习册答案