精英家教网 > 高中数学 > 题目详情

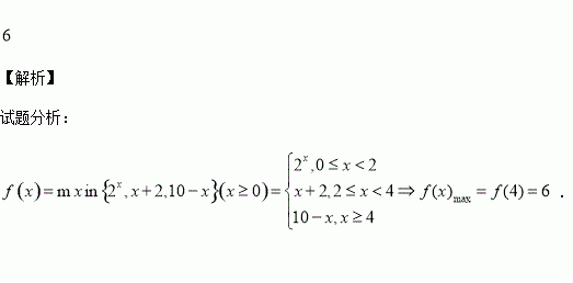
表示三个数中的最小值,设,则的最大值为_______________.

练习册系列答案
相关习题

科目:高中数学 来源:2017届三省高三上学期百校大联考数学(理)试卷(解析版) 题型:解答题

设数列是公差大于0的等差数列, 为数列的前项和,已知,且构成等比数列.

(1)求数列的通项公式;

(2)若数列满足,设是数列的前项和,证明:

查看答案和解析>>

科目:高中数学 来源:2017届河南息县第一高级中学高三上段测三试数学(理)试卷(解析版) 题型:解答题

已知是定义在上的奇函数,且,若时,有

.

(1)证明:上是增函数;

(2)解不等式.

查看答案和解析>>

科目:高中数学 来源:2017届河南息县第一高级中学高三上段测三试数学(理)试卷(解析版) 题型:选择题

为圆心,且与两条直线同时相切的圆的标准方程为( )

A. B.

C. D.

查看答案和解析>>

科目:高中数学 来源:2017届河南夏邑县第一高级中学高三文一轮复习周测二数学试卷(解析版) 题型:解答题

,函数在区间上的最大值是14,求实数的值.

查看答案和解析>>

科目:高中数学 来源:2017届河南夏邑县第一高级中学高三文一轮复习周测二数学试卷(解析版) 题型:选择题

设函数是奇函数,对任意的实数,有,且当时,,则在区间上( )

A.有最小值 B.有最大值

C.有最大值 D.有最小值

查看答案和解析>>

科目:高中数学 来源:2017届河南夏邑县第一高级中学高三文一轮复习周测二数学试卷(解析版) 题型:选择题

下列函数中,既不是奇函数,也不是偶函数的是( )

A. B. C. D.

查看答案和解析>>

科目:高中数学 来源:2017届新疆兵团农二师华山中学高三上学前考数学(文)试卷(解析版) 题型:选择题

等比数列各项为正,成等差数列.的前n项和,则=( )

A.2 B. C. D.

查看答案和解析>>

科目:高中数学 来源:2016-2017学年河北石家庄市高三理9月摸底数学试卷(解析版) 题型:选择题

若函数在区间上单调递减,则实数的取值范围为

A. B. C. D.

查看答案和解析>>

同步练习册答案