精英家教网 > 高中数学 > 题目详情
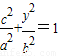
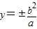
已知椭圆C:上有两点P和Q.P、Q在X轴上射影分别是椭圆的左右焦点F1,F2且P、Q连线斜率为
(1)求椭圆的离心率;
(2)若以PQ为直径的圆与直线x+y+6=0相切,求椭圆C方程.
【答案】分析:(1)先设出P、Q两点的坐标,利用P、Q在x轴上的射影分别为椭圆的左、右焦点,且P、Q两点的连线的斜率为 .即可求椭圆的离心率e的大小;
(2)先求出以PQ为直径的圆的方程,利用圆心到直线的距离等于半径求出b值即可求椭圆C的标准方程
解答:解:(1)设点(-c,-y),Q(c,y),其中y>0,
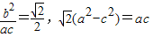
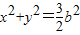
∵点P在椭圆C上,∴,∴
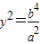
,∴.∴
从而 ,解得(舍去).
(2)由(1)知,,∴
∴以PQ为直径的圆的方程为
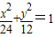
∵该圆与直线x+y+6=0相切,∴,∴b2=12,a2=24
∴椭圆的标准方程为
点评:本题的考点是直线与圆锥曲线的关系,主要考查是圆与椭圆知识的综合.当直线与圆相切时,可以利用圆心到直线的距离等于半径求解,也可以把直线与圆的方程联立让对应方程的判别式为0求解.
练习册系列答案
相关习题

科目:高中数学 来源:2011-2012学年浙江省宁波市五校高三适应性考试理科数学试卷(解析版) 题型:解答题

已知椭圆长轴上有一顶点到两个焦点之间的距离分别为:3+2,3-2.

(1)求椭圆的方程;

(2)如果直线 与椭圆相交于A,B,若C(-3,0),D(3,0),证明:直线CA与直线BD的交点K必在一条确定的双曲线上;

(3)过点Q(1,0 )作直线l (与x轴不垂直)与椭圆交于M,N两点,与y轴交于点R,若,求证:为定值.

 

查看答案和解析>>

科目:高中数学 来源:2011-2012学年江西省高三第三次模拟考试文科数学试卷(解析版) 题型:解答题

已知椭圆长轴上有一点到两个焦点之间的距离分别为:3+2,3-2

 (1)求椭圆的方程;

 (2)如果直线x=t(teR)与椭圆相交于A,B,若C(-3,0),D(3,0),证明直线CA与直线

BD的交点K必在一条确定的双曲线上;

  (3)过点Q(1,0 )作直线l(与x轴不垂直)与椭圆交于M,N两点,与y轴交于点R,、若

,求证:为定值.

 

查看答案和解析>>

科目:高中数学 来源: 题型:解答题

已知椭圆C:数学公式上有两点P和Q.P、Q在X轴上射影分别是椭圆的左右焦点F1,F2且P、Q连线斜率为数学公式
(1)求椭圆的离心率;
(2)若以PQ为直径的圆与直线x+y+6=0相切,求椭圆C方程.

查看答案和解析>>

科目:高中数学 来源:浙江省模拟题 题型:解答题

已知椭圆长轴上有一顶点到两个焦点之间的距离分别为:3+2,3-2
(1)求椭圆的方程;
(2)如果直线 与椭圆相交于A,B,若C(-3,0),D(3,0),证明:直线CA与直线BD的交点K必在一条确定的双曲线上;
(3)过点Q(1,0 )作直线l (与x轴不垂直)与椭圆交于M,N两点,与y轴交于点R,若,求证:为定值.

查看答案和解析>>

同步练习册答案