精英家教网 > 高中数学 > 题目详情

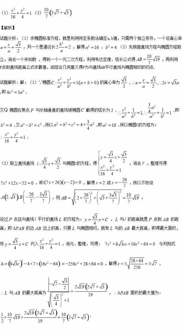
椭圆的离心率为,且过其右焦点与长轴垂直的直线被椭圆截得的弦长为.

(1)求椭圆的方程;

(2)设点是椭圆的一个动点, 直线与椭圆交于两点, 求面积的最大值.

练习册系列答案
相关习题

科目:高中数学 来源:2015-2016学年河南省高一下期中数学试卷(解析版) 题型:解答题

设等差数列{an}的前n项和为Sn,已知a3=24,a6=18.

(1)求数列{an}的通项公式;

(2)求数列{an}的前n项和Sn;

(3)当n为何值时,Sn最大,并求Sn的最大值.

查看答案和解析>>

科目:高中数学 来源:2015-2016学年广东省高一下第一次月考文科数学试卷(解析版) 题型:选择题

下列说法正确的是( )

A.任何事件的概率总是在(0,1)之间

B.频率是客观存在的,与试验次数无关

C.随着试验次数的增加,频率一般会越来越接近概率

D.概率是随机的,在试验前不能确定

查看答案和解析>>

科目:高中数学 来源:2016届湖南师大附中高三下学期高考模拟三文科数学试卷(解析版) 题型:选择题

如图,位于处的海面观测站获悉,在其正东方向相距40海里的处有一艘渔船遇险,并在原地等待营救.在处南偏西30°且相距20海里的处有一艘救援船,该船接到观测站通告后立即前往处求助,则( )

A. B. C. D.

查看答案和解析>>

科目:高中数学 来源:2016届湖南师大附中高三下学期高考模拟三文科数学试卷(解析版) 题型:选择题

若复数对应的点在直线上,则实数的值为( )

A.0 B.1 C.-1 D.3

查看答案和解析>>

科目:高中数学 来源:2016届辽宁省锦州市高三下学期质量检测二文科数学试卷(解析版) 题型:填空题

已知向量的夹角为,且,若,且,则实数

查看答案和解析>>

科目:高中数学 来源:2016届辽宁省锦州市高三下学期质量检测二文科数学试卷(解析版) 题型:选择题

已知函数,则函数的大致图象为( )

A. B.

C. D.

查看答案和解析>>

科目:高中数学 来源:2016届辽宁省锦州市高三下学期质量检测二理科数学试卷(解析版) 题型:填空题

已知向量的夹角为,且,若,且,则实数

查看答案和解析>>

科目:高中数学 来源:2016届河南省洛阳市高三考前综合练习五理科数学试卷(解析版) 题型:解答题

选修4-1:几何证明选讲

如图,的直径,弦延长线相交于点延长线上一点,且

求证:(1);(2)

查看答案和解析>>

同步练习册答案