精英家教网 > 高中数学 > 题目详情
在等比数列{an}中,a1+an=34,a2•an-1=64,且前n项和Sn=62,则项数n等于( )
A.4
B.5
C.6
D.7
【答案】分析:根据等比数列的性质得到a2•an-1=a1•an=64,与已知的a1+an=34联立,即可求出a1与an的值,然后利用等比数列的前n项和公式表示出Sn,把求出的a1与an的值代入即可求出公比q的值,根据an的值,利用等比数列的通项公式即可求出项数n的值.
解答:解:因为数列{an}为等比数列,则a2•an-1=a1•an=64①,
又a1+an=34②,
联立①②,解得:a1=2,an=32或a1=32,an=2,
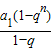
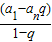
当a1=2,an=32时,sn====62,
解得q=2,所以an=2×2n-1=32,此时n=5;
同理可得a1=32,an=2,也有n=5.
则项数n等于5
故选B
点评:此题考查学生灵活运用等比数列的通项公式及前n项和公式化简求值,掌握等比数列的性质,是一道基础题.
练习册系列答案
相关习题

科目:高中数学 来源: 题型:

在等比数列{an}中,a4=
2
3
 , a3+a5=
20
9

(1)求数列{an}的通项公式;
(2)若数列{an}的公比大于1,且bn=log3
an
2
,求数列{bn}的前n项和Sn

查看答案和解析>>

科目:高中数学 来源: 题型:

在等比数列{an}中,若a1=1,公比q=2,则a12+a22+…+an2=(  )
A、(2n-1)2
B、
1
3
(2n-1)
C、4n-1
D、
1
3
(4n-1)

查看答案和解析>>

科目:高中数学 来源: 题型:

在等比数列{an}中,如果a1+a3=4,a2+a4=8,那么该数列的前8项和为(  )

查看答案和解析>>

科目:高中数学 来源: 题型:

在等比数列{an}中,a1=1,8a2+a5=0,数列{
1
an
}
的前n项和为Sn,则S5=(  )

查看答案和解析>>

科目:高中数学 来源: 题型:

在等比数列{an}中,an>0且a2=1-a1,a4=9-a3,则a5+a6=
81
81

查看答案和解析>>

同步练习册答案