精英家教网 > 高中数学 > 题目详情

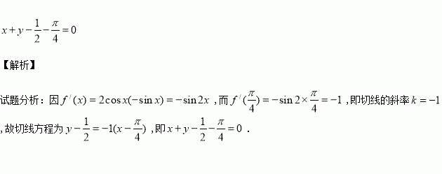
函数在点处的切线方程为__________.

练习册系列答案
相关习题

科目:高中数学 来源:2016届广西柳州高中高三4月高考模拟文科数学试卷(解析版) 题型:填空题

的周长等于,则其外接圆半径等于 .

查看答案和解析>>

科目:高中数学 来源:2016届湖北省联盟高三模拟文科数学试卷(解析版) 题型:解答题

某位同学为了研究气温对饮料销售的影响,经过对某小卖部的统计,得到一个卖出的某种饮料杯数与当天气温的对比表.他分别记录了3月21日至3月25日的白天平均气温)与该小卖部的这种饮料销量(杯),得到如下数据:

日期

3月21日 

3月22日 

3月23日 

3月24日 

3月25日 

平均气温

8

10

14

11

12

销量(杯)

21

25

35

26

28

(1)若先从这五组数据中任取2组,求取出的2组数据恰好是相邻2天数据的概率;

(2)请根据所给五组数据,求出关于的线回归方程

(3)根据(2)中所得的线性回归方程,若天气预报3月26日的白天平均气温7(),请预测该小卖部这种饮料的销量.(参考公式:

查看答案和解析>>

科目:高中数学 来源:2016届湖北省联盟高三模拟文科数学试卷(解析版) 题型:选择题

已知复数(其中为虚数单位),则( )

A.1 B. C. D.

查看答案和解析>>

科目:高中数学 来源:2016届湖北省联盟高三模拟理科数学试卷(解析版) 题型:解答题

某位同学为了研究气温对饮料销售的影响,经过对某小卖部的统计,得到一个卖出的某种饮料杯数与当天气温的对比表.他分别记录了3月21日至3月25日的白天平均气温)与该小卖部的这种饮料销量(杯),得到如下数据:

日期

3月21日 

3月22日 

3月23日 

3月24日 

3月25日 

平均气温

8

10

14

11

12

销量(杯)

21

25

35

26

28

(1)若先从这五组数据中任取2组,求取出的2组数据恰好是相邻2天数据的概率;

(2)请根据所给五组数据,求出关于的线回归方程

(3)根据(2)中所得的线性回归方程,若天气预报3月26日的白天平均气温7(),请预测该小卖部这种饮料的销量.(参考公式:

查看答案和解析>>

科目:高中数学 来源:2016届湖北省联盟高三模拟理科数学试卷(解析版) 题型:选择题

已知函数上有两个零点,则的取值范围为( )

A. B. C. D.

查看答案和解析>>

科目:高中数学 来源:2016届湖北省联盟高三模拟理科数学试卷(解析版) 题型:选择题

已知复数(其中为虚数单位),则( )

A. 1 B. C. D.

查看答案和解析>>

科目:高中数学 来源:2016届福建省泉州市高三5月质检文科数学试卷(解析版) 题型:选择题

已知函数的图象如图所示, 则的解析式可能是( )

A.

B.

C.

D.

查看答案和解析>>

科目:高中数学 来源:2015-2016学年安徽省高二下学期期中理科数学试卷(解析版) 题型:选择题

若点和点分别为椭圆的中心和左焦点,点为椭圆上的任意一点,则 的最大值为( )

A. B. C. D.

查看答案和解析>>

同步练习册答案