精英家教网 > 高中数学 > 题目详情
已知定义在R+上的函数f(x)有
(1)求函数f(x)的解析式;
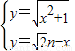
(2)设函数,直线(n∈N*)分别与函数y=g(x),y=g-1(x)交于An、Bn两点(n∈N*).设an=|AnBn|,Sn为数列{an}的前n项和.
①求an,并证明
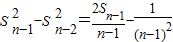
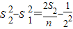
②求证:当n≥2时,
【答案】分析:(1),故,由此能求出f(x).
(2)由,联立得交点,由此能求出求an,并证明;当n≥2时,
解答:解:(1)

两式联立可得f(x)=x+1.
(2)由(1)可得
联立
得交点
所以



,…
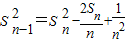
累加得:
又∵1-
=

点评:本题考查数列和不等式的综合运用,解题时要认真审题,仔细解答,注意合理地进行等价转化.
练习册系列答案
相关习题

科目:高中数学 来源: 题型:

已知定义在R上的函f(x)的图象关于点(-
3
4
,0
)对称,且满足f(x)=-f(x+
3
2
),f(0)=2,f(1)=-1,则f(1)+f(2)+f(3)+…+f(2009)的值是(  )
A、1B、-1C、2D、-2

查看答案和解析>>

科目:高中数学 来源: 题型:

已知定义在R上的单调递增奇函数以f(x),若当0≤θ≤
π2
时,f(cosθ+msinθ)+f(-2m-2)<0恒成立,求实数m的取值范围.

查看答案和解析>>

科目:高中数学 来源: 题型:

已知定义在R上的奇函数f(x).当x<0时,f(x)=x2+2x.
(Ⅰ)求函数f(x)的解析式;
(Ⅱ)问:是否存在实数a,b(a≠b),使f(x)在x∈[a,b]时,函数值的集合为[
1
b
1
a
]
?若存在,求出a,b;若不存在,请说明理由.

查看答案和解析>>

科目:高中数学 来源:2009-2010学年浙江省杭州高级中学高三第二次月考数学试卷(理科)(解析版) 题型:选择题

已知定义在R上的函f(x)的图象关于点()对称,且满足f(x)=-f(x+),f(0)=2,f(1)=-1,则f(1)+f(2)+f(3)+…+f(2009)的值是( )
A.1
B.-1
C.2
D.-2

查看答案和解析>>

科目:高中数学 来源:2011年四川省宜宾市南溪一中高考数学一诊模拟试卷1(文科)(解析版) 题型:选择题

已知定义在R上的函f(x)的图象关于点()对称,且满足f(x)=-f(x+),f(0)=2,f(1)=-1,则f(1)+f(2)+f(3)+…+f(2009)的值是( )
A.1
B.-1
C.2
D.-2

查看答案和解析>>

同步练习册答案