精英家教网 > 高中数学 > 题目详情

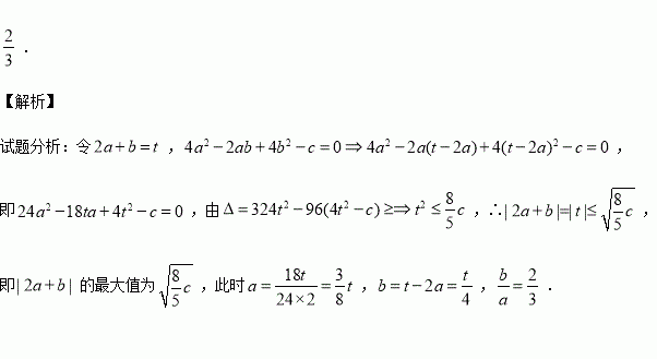
非零实数满足,当取到最大值时,的值为

练习册系列答案
相关习题

科目:高中数学 来源:2015-2016学年安徽省高二上期中文科数学试卷(解析版) 题型:填空题

命题“”的否定是

查看答案和解析>>

科目:高中数学 来源:2016届安徽省等高三第三次联考文科数学卷(解析版) 题型:解答题

已知为半圆的直径,为半圆上一点,过点圆的切线,过点作,交半圆于点

(1)证明:平分

(2)求的长.

查看答案和解析>>

科目:高中数学 来源:2015-2016学年重庆市高一上期中数学试卷(解析版) 题型:选择题

下列各组函数中,表示同一函数的是( )

A.

B.

C.

D.

查看答案和解析>>

科目:高中数学 来源:2015-2016学年浙江省高二上期中数学试卷(解析版) 题型:解答题

如图:已知四棱柱的底面是菱形,该菱形的边长为1,

(1)设棱形的对角线的交点为,求证://平面

(2)若四棱柱的体积,求与平面所成角的正弦值.

查看答案和解析>>

科目:高中数学 来源:2015-2016学年浙江省高一4-6班上期中数学卷(解析版) 题型:解答题

求下列函数定义域:(1);(2)

查看答案和解析>>

科目:高中数学 来源:2015-2016学年浙江慈溪中学高二2-10班上期中数学卷(解析版) 题型:选择题

如图,矩形中,为边的中点,将沿直线翻折成,若为线段的中点,则在翻折过程中,下面四个命题中不正确的是( )

A.是定值

B.点在某个球面上运动

C.存在某个位置,使

D.存在某位置,使平面

查看答案和解析>>

科目:高中数学 来源:2015-2016学年上海师大附中高一上期中数学试卷(解析版) 题型:填空题

已知集合,集合,则

查看答案和解析>>

科目:高中数学 来源:2015-2016学年河南省高二12月月考文科数学卷(解析版) 题型:选择题

若直线ax-by+2=0(a>0,b>0)被圆x2+y2+2x-4y+1=0截得的弦长为4,则+的最小值为( )

A. B. C. D.

查看答案和解析>>

同步练习册答案